HÀ NỘI - 2010
QCVN 4-8:2010/BYT do Ban soạn thảo quy chuẩn kỹ thuật quốc gia về Phụ gia thực phẩm và các chất hỗ trợ chế biến biên soạn, Cục An toàn vệ sinh thực phẩm trình duyệt và được ban hành theo Thông tư số 25/2010/TT-BYT ngày 20 tháng 5 năm 2010 của Bộ trưởng Bộ Y tế.
I. QUY ĐỊNH CHUNG
1. Phạm vi điều chỉnh
Quy chuẩn kỹ thuật quốc gia (sau đây gọi tắt là Quy chuẩn) này quy định các yêu cầu kỹ thuật và quản lý về chất lượng, vệ sinh an toàn đối với các chất ngọt tổng hợp được sử dụng với mục đích làm phụ gia thực phẩm.
2. Đối tượng áp dụng
Quy chuẩn này áp dụng đối với:
2.1. Tổ chức, cá nhân nhập khẩu, xuất khẩu, sản xuất, buôn bán và sử dụng các chất ngọt tổng hợp làm phụ gia thực phẩm (sau đây gọi tắt là tổ chức, cá nhân).
2.2. Cơ quan quản lý nhà nước có liên quan.
3. Giải thích từ ngữ và chữ viết tắt:
3.1. Chất ngọt tổng hợp: là phụ gia thực phẩm không phải là đường có nguồn gốc tự nhiên được sử dụng với mục đích tạo vị ngọt cho thực phẩm.
3.2. JECFA monograph 1 - Vol. 4 (JECFA monographs 1 - Combined compendium of food addiditive specifications; Joint FAO/WHO expert committee on food additives; Volume 4 - Analytical methods, test procedures and laboratory solutions used by and referenced in the food additive specifications; FAO, 2006): Các yêu cầu kỹ thuật đối với phụ gia thực phẩm, Tập 4 Các phương pháp phân tích, quy trình thử nghiệm, dung dịch thử nghiệm được sử dụng (hoặc tham chiếu) trong yêu cầu kỹ thuật đối với phụ gia thực phẩm; JECFA biên soạn; FAO ban hành năm 2006.
3.3. Mã số C.A.S (Chemical Abstracts Service): Mã số đăng ký hóa chất của Hiệp hội Hóa chất Hoa Kỳ.
3.4. TS (test solution): Dung dịch thuốc thử.
3.5. ADI (Acceptable daily intake): Lượng ăn vào hàng ngày chấp nhận được.
3.6. INS (International numbering system): Hệ thống mã số quốc tế về phụ gia thực phẩm.
II. YÊU CẦU KỸ THUẬT, PHƯƠNG PHÁP THỬ VÀ LẤY MẪU
1. Yêu cầu kỹ thuật và phương pháp thử đối với các chất ngọt tổng hợp được quy định tại các phụ lục ban hành kèm theo của Quy chuẩn này như sau:
1.1. Phụ lục 1: Yêu cầu kỹ thuật và phương pháp thử đối với Manitol.
1.2. Phụ lục 2: Yêu cầu kỹ thuật và phương pháp thử đối với Acesulfam kali.
1.3. Phụ lục 3: Yêu cầu kỹ thuật và phương pháp thử đối với Isomalt.
1.4. Phụ lục 4: Yêu cầu kỹ thuật và phương pháp thử đối với Saccarin.
1.5. Phụ lục 5: Yêu cầu kỹ thuật và phương pháp thử đối với Sorbitol.
2. Các yêu cầu kỹ thuật quy định trong Quy chuẩn này được thử theo JECFA monograph 1 - Vol. 4, ngoại trừ một số phép thử riêng được mô tả trong các phụ lục. Các phương pháp thử được hướng dẫn trong Quy chuẩn này không bắt buộc phải áp dụng, có thể sử dụng các phương pháp thử khác tương đương.
3. Lấy mẫu theo hướng dẫn tại Thông tư 16/2009/TT-BKHCN ngày 02 tháng 6 năm 2009 của Bộ Khoa học và Công nghệ về hướng dẫn kiểm tra nhà nước về chất lượng hàng hóa lưu thông trên thị trường và các quy định khác của pháp luật có liên quan.
III. YÊU CẦU QUẢN LÝ
1. Công bố hợp quy
1.1. Các chất ngọt tổng hợp phải được công bố phù hợp với các quy định tại Quy chuẩn này.
1.2. Phương thức, trình tự, thủ tục công bố hợp quy được thực hiện theo Quy định về chứng nhận hợp chuẩn, chứng nhận hợp quy và công bố hợp chuẩn, công bố hợp quy ban hành kèm theo Quyết định số 24/2007/QĐ-BKHCN ngày 28 tháng 9 năm 2007 của Bộ trưởng Bộ Khoa học và Công nghệ và các quy định của pháp luật.
2. Kiểm tra đối với chất ngọt tổng hợp
Việc kiểm tra chất lượng, vệ sinh an toàn đối với các chất ngọt tổng hợp phải thực hiện theo các quy định của pháp luật.
IV. TRÁCH NHIỆM CỦA TỔ CHỨC, CÁ NHÂN
1. Tổ chức, cá nhân phải công bố hợp quy phù hợp với các quy định kỹ thuật tại Quy chuẩn này, đăng ký bản công bố hợp quy tại Cục An toàn vệ sinh thực phẩm và bảo đảm chất lượng, vệ sinh an toàn theo đúng nội dung đã công bố.
2. Tổ chức, cá nhân chỉ được nhập khẩu, xuất khẩu, sản xuất, buôn bán và sử dụng các chất ngọt tổng hợp sau khi hoàn tất đăng ký bản công bố hợp quy và bảo đảm chất lượng, vệ sinh an toàn, ghi nhãn phù hợp với các quy định của pháp luật.
V. TỔ CHỨC THỰC HIỆN
1. Giao Cục An toàn vệ sinh thực phẩm chủ trì, phối hợp với các cơ quan chức năng có liên quan hướng dẫn triển khai và tổ chức việc thực hiện Quy chuẩn này.
2. Căn cứ vào yêu cầu quản lý, Cục An toàn vệ sinh thực phẩm có trách nhiệm kiến nghị Bộ Y tế sửa đổi, bổ sung Quy chuẩn này.
3. Trường hợp hướng dẫn của quốc tế về phương pháp thử và các quy định của pháp luật viện dẫn trong Quy chuẩn này được sửa đổi, bổ sung hoặc thay thế thì áp dụng theo văn bản mới.
PHỤ LỤC 1
YÊU CẦU KỸ THUẬT VÀ PHƯƠNG PHÁP THỬ ĐỐI VỚI MANITOL
1. Tên khác, chỉ số |
D-Manitol, manit, Mannitol INS 421 ADI “không giới hạn” |
2. Định nghĩa |
|
Tên hóa học |
D-Manitol |
Mã số C.A.S. |
69-65-8 |
Công thức hóa học |
C6H14O6 |
Công thức cấu tạo |
|
Khối lượng phân tử |
182,17 |
3. Cảm quan |
Bột kết tinh trắng, không mùi |
4. Chức năng |
Chất ngọt tổng hợp, chất giữ ẩm, chất tạo kết cấu, chất ổn định, chất độn. |
5. Yêu cầu kỹ thuật |
|
5.1. Định tính |
|
Độ tan |
Tan trong nước, tan rất ít trong ethanol, thực tế không tan trong ether. |
Khoảng nóng chảy |
164 - 169oC. |
Sắc kí lớp mỏng |
Đạt yêu cầu. (Tiến hành theo chỉ dẫn ở phần Sắc kí lớp mỏng của các Polyol tại JECFA monograph 1 - Vol.4) Sử dụng như sau: Dung dịch chuẩn Hòa tan 50 mg Manitol chuẩn đối chiếu (USP) trong 20 ml nước. Dung dịch thử Hòa tan 50 mg mẫu thử trong 20 ml nước |
5.2. Độ tinh khiết |
|
Giảm khối lượng khi làm khô |
Không được quá 0,3%. (sấy ở 105 °C trong 4 giờ) |
Năng suất quay cực |
|
pH |
Trong khoảng 5 - 8 |
Tro sulfat |
Không được quá 0,1% |
|
Clorid |
Không được quá 70 mg/kg |
Sulfat |
Không được quá 100 mg/kg |
|
Nickel |
Không được quá 2 mg/kg |
Đường khử |
Không được quá 0,3% |
Đường tổng số |
Không được quá 1,0% (tính theo glucose) |
Chì |
Không được quá 1 mg/kg |
5.3. Hàm lượng C6H14O6 |
Không được nhỏ hơn 96,0% và không lớn hơn 102,0% tính theo chế phẩm khô. |
6. Phương pháp thử |
|
6.1 Độ tinh khiết |
|
Năng suất quay cực |
Thử theo hướng dẫn tại JECFA monograph 1 - Vol.4- Cân chính xác và hòa tan 2,0 g mẫu thử và 2,6 g dinatri tetraborat trong khoảng 20 ml nước đã được làm nóng trước tới khoảng 30 oC, lắc liên tục trong 15-30 phút, không làm nóng thêm. Pha loãng dung dịch trong này tới 25 ml với nước. |
pH |
Thử theo hướng dẫn tại JECFA monograph 1 - Vol.4-Thêm 0,5 ml dung dịch kali clorid bão hòa vào 10 ml dung dịch mẫu thử 10% (kl/tt), sau đó đo pH. |
Tro sulfat |
Thử theo hướng dẫn tại JECFA monograph 1 - Vol.4-Phương pháp I-Thử trên 2 g mẫu thử |
|
Clorid |
Thử theo hướng dẫn tại JECFA monograph 1 - Vol.4-Thử trên 10 g mẫu thử bằng Phép thử giới hạn clorid, dùng 2,0 ml acid hydrocloric 0,01 N làm dung dịch đối chứng. |
Sulfat |
Thử theo hướng dẫn tại JECFA monograph 1 - Vol.4-Thử trên 10 g mẫu thử bằng Phép thử giới hạn sulfat, dùng 2,0 ml acid sulfuric 0,01 N làm dung dịch đối chứng. |
|
Nickel |
Thử theo hướng dẫn tại JECFA monograph 1 - Vol.4-Tiến hành theo chỉ dẫn ở phần Nickel trong Polyol |
Đường khử |
Thử theo hướng dẫn tại JECFA monograph 1 - Vol.4-Tiến hành theo chỉ dẫn ở phần Các chất khử (tính theo glucose), Phương pháp II. Khối lượng của đồng (I) oxyd phải không vượt quá 50 mg. |
Đường tổng số |
Thử theo hướng dẫn tại JECFA monograph 1 - Vol.4-Cho 2,1 g mẫu thử vào bình 250 ml lắp khít với một ống nối thủy tinh mài, thêm 40 ml acid hydrocloric 0,1 N, lắp sinh hàn hồi lưu, và đun hồi lưu trong 4 giờ. Chuyển dung dịch này sang cốc 400 ml, rửa sạch bình với khoảng 10 ml nước, trung tính bằng natri hydroxyd 6 N và tiến hành như chỉ dẫn trong phần Phương pháp chung cho các chất khử (tính theo glucose), Phương pháp II. Khối lượng của đồng (I) oxyd phải không vượt quá 50 mg |
Chì |
Thử theo hướng dẫn tại JECFA monograph 1 - Vol.4. Sử dụng kỹ thuật hấp thụ nguyên tử thích hợp cho hàm lượng quy định để xác định. Lựa chọn cỡ mẫu thử và phương pháp chuẩn bị mẫu dựa trên nguyên tắc của phương pháp mô tả trong JECFA monograph 1 - Vol.4 phần các phương pháp phân tích công cụ. |
6.2. Định lượng |
|
|
|
Sử dụng sắc kí lỏng để xác định hàm lượng Manitol của mẫu thử (xem JECFA monograph 1 - Vol.4) Thiết bị Sắc kí lỏng (HPLC) Phát hiện: detector đo độ khúc xạ duy trì ở nhiệt độ không đổi Máy ghi tích phân Cột: AMINEX HPX 87 C (nhựa ở dạng calci), dài 30 cm, đường kính trong 9 mm Dung môi rửa giải: nước cất hai lần được loại khí (lọc qua màng lọc Millipore 0,45 µm) Điều kiện sắc kí Nhiệt độ cột: 85±0,5 oC Lưu lượng dòng: 0,5 ml /phút Dung dịch chuẩn Hòa tan một lượng cân chính xác Manitol chuẩn đối chiếu trong nước để thu được dung dịch có nồng độ khoảng 10,0 mg Manitol trong 1 ml. Dung dịch thử Cho khoảng 1 g mẫu thử được cân chính xác vào bình định mức 50 ml, pha loãng bằng nước đến vạch và lắc đều. Tiến hành Tiêm riêng biệt cùng thể tích (khoảng 20 µL) dung dịch thử và dung dịch chuẩn vào hệ thống sắc kí. Ghi sắc đồ và đo đáp ứng của pic Manitol. Tính khối lượng của Manitol (đơn vị mg) trong phần mẫu thử lấy định lượng theo công thức sau:
Trong đó: C = nồng độ, mg/ml, Manitol trong dung dịch chuẩn At = đáp ứng của pic Manitol của dung dịch thử Ac = đáp ứng của pic Manitol của dung dịch chuẩn. |
PHỤ LỤC 2
YÊU CẦU KỸ THUẬT VÀ PHƯƠNG PHÁP THỬ ĐỐI VỚI ACESULFAM KALI
1. Tên khác, chỉ số |
Acesulfame potassium; Acesulfame K; INS 950 ADI = 0 - 15 mg/kg thể trọng |
2. Định nghĩa |
|
Tên hóa học |
Muối kali của 6-methyl-1,2,3-oxathiazin-4(3H)-1-2,2-dioxid; muối kali của 3,4-dihydro-6-methyl-1,2,3-oxathiazin-4-on-2,2-dioxid |
Mã số C.A.S. |
55589-62-3 |
Công thức hóa học |
C4H4KNO4S |
Công thức cấu tạo |
|
Khối lượng phân tử |
201,24 |
3. Cảm quan |
Bột kết tinh trắng, không mùi |
4. Chức năng |
Chất ngọt tổng hợp, chất điều hương |
5. Yêu cầu kỹ thuật |
|
5.1. Định tính |
|
Độ tan |
Dễ tan trong nước, rất ít tan trong cồn. |
Quang phổ |
Hòa tan 10 mg chế phẩm thử trong 1000 ml nước. Dung dịch này có cực đại hấp thụ tại 227 ± 2 nm |
Kali |
Phải có phản ứng đặc trưng của kali. (Tiến hành thử với cắn thu được khi đốt 2 g mẫu thử). |
Tạo kết tủa |
Thêm vài giọt dung dịch natri cobaltinitrit 10% vào dung dịch 0,2 g chế phẩm thử trong 2 ml dung dịch acid acetic (TS) và 2 ml nước. Trong dung dịch có kết tủa màu vàng. |
5.2. Độ tinh khiết |
|
Giảm khối lượng khi làm khô |
Không được quá 1,0% (105 oC; 2 giờ). |
pH |
5,5 – 7,5 (dung dịch 1%). |
Tạp chất hữu cơ |
Đạt đối với 20 mg/kg thành phần đáp ứng với UV. Xem mô tả trong phần phương pháp thử |
Florid |
Không được quá 3 mg/kg. (Phương pháp III; sử dụng cỡ mẫu thử thích hợp và thể tích dung dịch chuẩn phù hợp để thiết lập đường chuẩn) |
Chì |
Không được quá 1 mg/kg. |
5.3. Hàm lượng C4H4KNO4S |
Không được nhỏ hơn 99,0% và không lớn hơn 101,0% tính theo chế phẩm đã làm khô. |
6. Phương pháp thử |
|
6.1. Độ tinh khiết |
|
Tạp chất hữu cơ |
Tiến hành theo chỉ dẫn trong phần phương pháp sắc ký (Sắc ký lỏng hiệu năng cao, FNP 5) theo điều kiện sau và sử dụng acid 4-hydroxybenzoic ethyl ester làm chất đối chiếu: Cột: thép không gỉ 25 cm ´ 4,6 mm Pha tĩnh: Pha ngược (C18 silica gel, 3 - 5 µm) Rửa giải: Đẳng dòng Pha động: Acetonitril/ tetrabutyl amoni hydrosulfat (TBAHS) 0,01 mol/L trong nước (40:60) Tốc độ dòng: Khoảng 1 ml/phút Detector: UV hoặc Diod array, 227 nm Thể tích tiêm: 20 µl dung dịch chế phẩm thử 10 g/L trong nước khử ion Hệ thống sắc ký phải có khả năng tách kali acesulfam và acid 4-hydroxybenzoic ethyl esther với độ phân giải bằng 2. Nếu pic khác ngoài kali acesulfam xuất hiện trong khoảng 3 lần thời gian rửa giải của kali acesulfam, tiến hành phân tích lần thứ hai với 20 µl dung dịch chế phẩm thử 0,2 mg/L. Tổng diện tích tất cả các pic được rửa giải trong lần phân tích thứ nhất với thời gian chạy gấp 3 lần thời gian rửa giải của kali acesulfam, trừ pic của kali acesulfam không được lớn hơn diện tích pic của kali acesulfam trong lần phân tích thứ hai. |
Chì |
Thử theo hướng dẫn tại JECFA monograph 1 - Vol.4 . Sử dụng kỹ thuật hấp thụ nguyên tử thích hợp để xác định. Lựa chọn cỡ mẫu thử và phương pháp chuẩn bị mẫu dựa trên nguyên tắc của phương pháp mô tả trong JECFA monograph 1 - Vol.4 phần các phương pháp phân tích công cụ. |
6.2. Định lượng |
Cân khoảng 0,15 g (chính xác đến mg) mẫu thử khô, hòa tan trong 50,0 ml acid acetic băng (quá trình hòa tan có thể chậm) và chuẩn độ bằng acid percloric 0,1 N, xác định điểm kết thúc chuẩn độ bằng đo thế hoặc sử dụng chỉ thị là hai giọt dung dịch tím tinh thể (TS) và chuẩn độ bằng acid percloric 0,1 N tới khi chuyển sang màu lam lục bền trong ít nhất 30 giây. Tiến hành làm một mẫu trắng song song và hiệu chỉnh nếu cần. Mỗi ml acid percloric 0,1 N tương đương với 20,12 mg C4H4KNO4S. |
PHỤ LỤC 3
YÊU CẦU KỸ THUẬT VÀ PHƯƠNG PHÁP THỬ ĐỐI VỚI ISOMALT
1. Tên khác, chỉ số |
Isomaltulose hydro hóa INS 953 ADI “Không xác định” |
||||||||||||||||||||||||||||||
2. Định nghĩa |
Là hỗn hợp của các mono và disaccharid hydro hóa mà thành phần chính là các disaccharid sau: |
||||||||||||||||||||||||||||||
Tên hóa học |
6-O-a-D-Glucopyranosyl-D-sorbitol (1,6-GPS) và 1-O-a-D-Glucopyranosyl-D-mannitol dihydrat (1,1-GPM) |
||||||||||||||||||||||||||||||
Mã số C.A.S. |
64519-82-0 |
||||||||||||||||||||||||||||||
Công thức hóa học |
6-O-a-D-Glucopyranosyl-D-sorbitol: C12H24O11 1-O-a-D-Glucopyranosyl-D-mannitol dihydrat: C12H24O11.H2O |
||||||||||||||||||||||||||||||
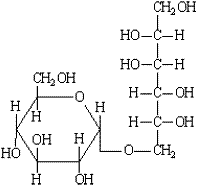
Công thức cấu tạo |
|
|
|||||||||||||||||||||||||||||
|
|
1,6-GPS |
1,1-GPM (không có nước trong tinh thể) |
|||||||||||||||||||||||||||||
Khối lượng phân tử |
6-O-a-D-Glucopyranosyl-D-sorbitol: 344,32 1-O-a-D-Glucopyranosyl-D-mannitol dihydrat: 380,32 |
||||||||||||||||||||||||||||||
3. Cảm quan |
Tinh thể trắng hoặc không màu, hút ẩm nhẹ. |
||||||||||||||||||||||||||||||
4. Chức năng |
Chất ngọt tổng hợp, chất độn, chất chống đông vón, chất làm bóng. |
||||||||||||||||||||||||||||||
5. Yêu cầu kỹ thuật |
|||||||||||||||||||||||||||||||
5.1. Định tính |
|
||||||||||||||||||||||||||||||
Độ tan |
Dễ tan trong nước, rất ít tan trong cồn. |
||||||||||||||||||||||||||||||
Sắc ký lớp mỏng |
Đạt yêu cầu (mô tả trong phần Phương pháp thử). |
||||||||||||||||||||||||||||||
5.2. Độ tinh khiết |
|
||||||||||||||||||||||||||||||
Nước |
Không được quá 7,0% (phương pháp Karl-Fischer) |
||||||||||||||||||||||||||||||
Tro sulfat |
Không được quá 0,05%. (Cân 5 g mẫu thử). |
||||||||||||||||||||||||||||||
D-mannitol |
Không được quá 3%. |
||||||||||||||||||||||||||||||
D-sorbitol |
Không được quá 6%. |
||||||||||||||||||||||||||||||
Đường khử |
Không được quá 0,3%. |
||||||||||||||||||||||||||||||
Nickel |
Không được quá 2 mg/kg. |
||||||||||||||||||||||||||||||
Chì |
Không được quá 1 mg/kg. |
||||||||||||||||||||||||||||||
5.3. Hàm lượng Isomalt |
Không được nhỏ hơn 98% mono- và disaccarid hydro hóa và không nhỏ hơn 86% hỗn hợp của 6-O-alpha-D-glucopyranosyl-D-sorbitol và 1-O-alpha-D-glucopyranosyl-D-manitol tính theo chế phẩm khan. |
||||||||||||||||||||||||||||||
6. Phương pháp thử |
|
||||||||||||||||||||||||||||||
6.1. Định tính |
|
||||||||||||||||||||||||||||||
Sắc ký lớp mỏng |
Bản mỏng sắc ký Bản mỏng sắc ký là bản nhôm hoặc kính dài ~ 12 cm phủ lớp pha tĩnh là Kieselgel 60 F254, (Art. 5554, Merck hoặc tương đương) dày ~ 0,2 mm. Dung dịch chuẩn: Hòa tan 500 mg mỗi loại đường sau đây trong 100 ml nước: Sorbitol, manitol, lactilol, 6-O-a-D-Glucopyranosyl-D-sorbitol (1,6 GPS), 1-O-a-D-Glucopyranosyl-D-manitol (1,1 GPM) Dung dịch thử: Hoà tan 500 mg mẫu trong 100 ml nước. Dung môi A: Isopropanol/n-butanol/dung dịch acid boric (25 mg/ml)/acid acetic/acid propionic (50/30/20/2/16 - tt/tt/tt/tt/tt). Dung môi B: Ethyl acetat/pyridin/nước/acid : acid acetic : acid propionic (50/50/10/5/5 - tt/tt/tt/tt/tt). Dung dịch thuốc thử hiện màu: Số I: Dung dịch natri metaperiodat 0,1% (kl/kl). Số II: ethanol/acid sulfuric/anisaldehyd/acid acetic (90/5/1/1 - tt/tt/tt/tt). Tiến hành Chấm ~ 0,3 mL mỗi dung dịch chuẩn và dung dịch thử lên vạch xuất phát của bản mỏng. Sấy khô vết chấm trong không khí nóng. Tiến hành khai triển sắc ký trong buồng khai triển đã bão hòa hệ dung môi A hoặc B, đến khi chiều cao tuyến dung môi đạt ~ 10 cm. Để bản mỏng khô trong không khí nóng, sau đó ngâm bản mỏng trong dung dịch thuốc thử hiện màu số I trong 3 giây. Lấy bản mỏng ra, để khô trong không khí nóng. Chú ý: bản mỏng phải khô cả 2 mặt. ngâm bản mỏng trong dung dịch thuốc thử hiện màu số II trong 3 giây. Lấy bản mỏng ra, để khô trong không khí nóng đến khi có thể quan sát được màu của vết. Có thể điều chỉnh độ tương phản với màu nền trong dòng không khí ấm. Giá trị Rf gần đúng và màu của vết trên bản mỏng đặc trưng riêng cho từng chất như sau:
Giá trị Rf có thể thay đổi chút ít khi sử dụng bản mỏng silicagel từ các nguồn khác nhau. Vết chính trên sắc ký đồ dung dịch thử isomalt phải tương ứng về Rf và màu sắc của vết GPM và GPS. |
||||||||||||||||||||||||||||||
6.2. Độ tinh khiết |
|
||||||||||||||||||||||||||||||
Đường khử |
Thử theo hướng dẫn tại JECFA monograph 1 - Vol.4 - Tiến hành theo hướng dẫn trong chuyên luận thử giới hạn các hợp chất khử (tính theo glucose) phương pháp II. Khối lượng đồng (I) oxyd không được quá 50 mg. |
||||||||||||||||||||||||||||||
Nickel |
Dung dịch thử: Hòa tan 20,0 g mẫu thử trong hỗn hợp gồm dung dịch acid acetic loãng (TS) và nước, trộn đồng thể tích, sau đó định mức đến đủ 100 ml bằng hỗn hợp dung môi này. Thêm 2,0 ml dung dịch amoni pyrrolidin-dithiocarbamat 1% (kl/tt) và 10 ml methyl isobutyl keton. Trộn đều và để yên tách lớp, lấy lớp methyl isobutyl keton để tiến hành thử nghiệm tiếp theo. Dung dịch chuẩn: Chuẩn bị 3 dung dịch chuẩn (theo hướng dẫn chuẩn bị dung dịch thử) nhưng thay vì cho 20,0 g mẫu thử thì cho 0,5 ml; 1,0 ml; 1,5 ml dung dịch chuẩn chứa 10 mg Ni/L. Tiến hành: Chỉnh thiết bị về 0 bằng cách đo dung dịch methyl isobutyl keton (được chuẩn bị như chuẩn bị dung dịch thử nhưng không cho mẫu thử). Đo độ hấp thụ của dịch methyl isobutyl keton chiết ra tại 232,0 nm, sử dụng đèn cathod rỗng Nickel làm nguồn bức xạ và ngọn lửa acetylen/không khí. |
||||||||||||||||||||||||||||||
Chì |
Thử theo hướng dẫn tại JECFA monograph 1 - Vol.4 . Sử dụng kỹ thuật hấp thụ nguyên tử thích hợp để xác định. Lựa chọn cỡ mẫu thử và phương pháp chuẩn bị mẫu dựa trên nguyên tắc của phương pháp mô tả trong JECFA monograph 1 - Vol.4 phần các phương pháp phân tích công cụ. |
||||||||||||||||||||||||||||||
6.3. Định lượng |
Dung dịch chuẩn nội Hòa tan lượng vừa đủ phenyl-b-D-glucopyranosid và manitol trong nước sao cho thu được dung dịch có nồng độ 1 mg phenyl-b-D-glucopyranosid/1g nước và 50 mg mannitol/1 g nước. |
||||||||||||||||||||||||||||||
|
|
Dung dịch chuẩn Cân chính xác lượng 6-O-a-D-Glucopyranosyl-D-sorbitol (1,6 GPS), 1-O-a-D-Glucopyranosyl-D-manitol (1,1 GPM) tính theo chế phẩm đã làm khô, hoà tan riêng rẽ trong nước thành 2 dung dịch chuẩn có nồng độ 50 mg/g. Đồng thời pha một dung dịch có thành phần gần đúng gồm 1 mg manitol/g và 1 mg sorbitol/g. Dung dịch mẫu thử Cân khoảng 1 g mẫu thử (chính xác đến mg) hòa tan trong nước vừa đủ để thu được nồng độ khoảng 10 g/100 g. Tiến hành Hút 100,0 mg dung dịch chuẩn và dung dịch mẫu thử vào các ống nghiệm có nút, thêm vào mỗi ống 100,0 mg dung dịch chuẩn nội. Loại nước bằng cách đông khô và hoà tan phần còn lại trong 1,0 ml pyridin Thêm vào mỗi ống 4 mg O-benzyl-hydroxylamin hydroclorid, đậy nút và để yên tại nhiệt độ phòng trong 12 giờ. Sau đó thêm 1 ml N-methyl-N-trimethylsilyl-trifluoroacetamid (MSTFA) và đun nóng tại 80 oC trong 12 giờ, trong khi đun thỉnh thoảng lắc, sau đó để nguội. Bơm 1 mL mỗi dung dịch này trực tiếp vào máy sắc ký khí dưới điều kiện hoạt động như sau: Khí mang He (dòng ban đầu ~ 1 ml/phút tại 80 oC và 1 atm, chia dòng 25 ml/phút); Cột Fused silica HT-8 (25 m x 0,22 mm x 0,25 mm) hoặc tương đương; Bơm mẫu: chương trình nhiệt độ bay hơi 30 oC; 270o/phút đến 300o (49 phút); Detector: ion hóa ngọn lửa FID; 360 oC; Chương trình nhiệt độ: 80o (3 phút); 10o/phút đến 210o; 5o/phút đến 300o (6 phút). Thời gian lưu gần đúng như sau: Các monosaccharid hydro hóa: Mannitol 19,5 phút Sorbitol 19,6 phút Chuẩn nội: Phenyl-ß-D-glucopyranosid 26,8 phút Maltitol 33,5 phút Các disaccharid hydro hóa (32 - 36 phút) 1,1-GPS 33,9 phút 1,1-GPM 34,5 phút 1,6-GPS 34,6 phút Tính hàm lượng (%) của từng thành phần trong mẫu (wI) theo công thức sau:
|
||||||||||||||||||||||||||||||
|
|
Trong đó aI = diện tích pic của cấu tử I (μV·s) aS = diện tích pic của chuẩn nội (μV·s) mS = Khối lượng của chuẩn nội dùng để dẫn xuất hóa (mg d.s.) mISOMALT = Khối lượng mẫu thử tham gia dẫn xuất hóa (mg d.s.) FI = Hệ số tương quan đáp ứng fI/fS fI = Hệ số đáp ứng của cấu tử I : fI =(aI/mI) x (100/% độ tinh khiết) fS = Hệ số đáp ứng của chuẩn nội: fS =(aS/mS) x (100/% độ tinh khiết) mI, mS = Khối lượng cấu tử I hoặc chuẩn nội dùng cho quá trình dẫn xuất hóa mẫu thử (mg d.s.). Chú ý: Sử dụng maltitol làm chuẩn nội khi tính hàm lượng các disaccharid hydro hóa (VD 1,1-GPM; 1,6-GPS) và phenyl-b-D-glucopyranosid làm chuẩn nội khi tính hàm lượng các monosaccharid hydro hóa (manitol, sorbitol). Để tính tổng saccharid khác (hydro hóa hoặc không hydro hóa) lấy 100% trừ đi tổng hàm lượng 1,1-GPM; 1,6-GPS; manitol; sorbitol. |
||||||||||||||||||||||||||||||
PHỤ LỤC 4
YÊU CẦU KỸ THUẬT VÀ PHƯƠNG PHÁP THỬ ĐỐI VỚI SACCARIN
1. Tên khác, chỉ số |
INS 954 ADI = 0 - 5 mg/kg thể trọng |
2. Định nghĩa |
|
Tên hóa học |
1,2-Benzisothiazol-3(2H)-on-1,1-dioxid; 3-oxo-2,3-dihydrobenzo[d]isothiazol-1,1-dioxid |
Mã số C.A.S. |
81-07-2 |
Công thức hóa học |
C7H5NO3S |
Công thức cấu tạo |
|
Khối lượng phân tử |
183,18 |
3. Cảm quan |
Tinh thể hoặc bột tinh thể trắng, không mùi hoặc có mùi thơm nhẹ. |
4. Chức năng |
Chất ngọt tổng hợp |
5. Yêu cầu kỹ thuật |
|
5.1. Định tính |
|
Độ tan |
Ít tan trong nước; tan trong dung dịch kiềm, ít tan trong ethanol. |
Acid |
Dung dịch mẫu thử bão hòa có tính acid. |
Dẫn xuất hóa thành acid salicylic |
Đạt yêu cầu (mô tả trong phần Phương pháp thử). |
Dẫn xuất hóa thành hợp chất có huỳnh quang |
Đạt yêu cầu (mô tả trong phần Phương pháp thử) |
5.2. Độ tinh khiết |
|
Giảm khối lượng khi làm khô |
Không được quá 1,0% (105oC; 2 giờ) |
Khoảng nóng chảy |
226 - 230oC. |
Tro sulfat |
Không được quá 0,2% (Cân 2 g mẫu thử). |
Acid benzoic và acid salycylic |
Đạt yêu cầu (mô tả trong phần Phương pháp thử). |
Các hợp chất dễ bị than hóa |
Đạt yêu cầu (mô tả trong phần Phương pháp thử). |
Toluensulfonamid |
Không được quá 25 mg/kg. |
Selen |
Không được quá 30 mg/kg. |
Chì |
Không được quá 1 mg/kg. |
5.3. Hàm lượng C7H5NO3S |
Không được nhỏ hơn 99,0% và không lớn hơn 101,0% tính theo chế phẩm đã làm khô. |
6. Phương pháp thử |
|
6.1 Định tính |
|
Dẫn xuất hóa thành acid salicylic |
Hòa tan 0,1 g mẫu thử trong 5 ml natri hydroxyd 5%. Cho bay hơi đến khô và nung nhẹ cắn trên ngọn lửa nhỏ đến khi không còn mùi amoniac thoát ra. Sau khi để nguội, hòa tan cắn trong 20 ml nước, trung hòa dung dịch bằng dung dịch acid hydrocloric loãng (TS) và lọc. Thêm 1 giọt dung dịch sắt (III) clorid (TS) vào dịch lọc, dung dịch có màu tím. |
Dẫn xuất hóa thành hợp chất có huỳnh quang |
Trộn 20 mg mẫu thử với 40 mg resorcinol, thêm 10 giọt acid sulfuric, đun cách dầu hỗn hợp tại 200 oC trong 3 phút, sau khi làm mát, thêm 10 ml nước và lượng dư dung dịch natri hydroxyd (TS). Dung dịch này có huỳnh quang xanh lục. |
6.2 Độ tinh khiết |
|
Acid benzoic và acid salicylic |
Thêm nhỏ giọt dụng dịch sắt (III) clorid (TS) vào dung dịch mẫu thử bão hòa. Không được xuất hiện kết tủa màu tím. |
Các hợp chất dễ bị than hóa |
Hòa tan 0,2 g mẫu thử trong 5 ml dung dịch acid sulfuric (TS). Giữ tại nhiệt độ 48 - 50oC trong 10 phút. Màu của dung dịch không được đậm hơn màu vàng nâu nhạt của dung dịch đối chứng A (Matching Fluid A). |
Selen |
Thử theo hướng dẫn tại JECFA monograph 1 - Vol.4 - Tiến hành theo hướng dẫn trong chuyên luận thử giới hạn selen, phương pháp I, cân 0,2 g mẫu thử. |
Chì |
Thử theo hướng dẫn tại JECFA monograph 1 - Vol.4 . Sử dụng kỹ thuật hấp thụ nguyên tử thích hợp để xác định. Lựa chọn cỡ mẫu thử và phương pháp chuẩn bị mẫu dựa trên nguyên tắc của phương pháp mô tả trong JECFA monograph 1 - Vol.4 phần các phương pháp phân tích công cụ. |
6.3. Định lượng |
Cân khoảng 0,5 g (chính xác đến mg) mẫu thử đã được làm khô, hòa tan trong 75 ml nước nóng. Làm nguội nhanh và thêm dung dịch phenolphtalein (TS), chuẩn độ với dung dịch natri hydroxyd 0,1 N. Mỗi ml natri hydroxyd 0,1 N tương đương với 18,32 mg C7H5NO3S. |
PHỤ LỤC 5
YÊU CẦU KỸ THUẬT VÀ PHƯƠNG PHÁP THỬ ĐỐI VỚI SORBITOL
1. Tên khác, chỉ số |
D-Glucitol, D-Sorbitol, Sorbol INS 420 ADI “không giới hạn” |
2. Định nghĩa |
|
Tên hóa học |
D-Sorbitol |
Mã số C.A.S. |
50-70-4 |
Công thức hóa học |
C6H14O6 |
Công thức cấu tạo |
|
Khối lượng phân tử |
182,17 |
3. Cảm quan |
Bột trắng háo nước, bột tinh thể, dạng vẩy hoặc hạt |
4. Chức năng |
Chất ngọt tổng hợp, chất giữ ẩm, chất tạo kết cấu, chất ổn định, chất độn. |
5. Yêu cầu kỹ thuật |
|
5.1. Định tính |
|
Độ tan |
Rất dễ tan trong nước, ít tan trong ethanol. |
Khoảng nóng chảy |
88 – 102 oC. |
Sắc kí lớp mỏng |
Đạt yêu cầu (mô tả trong phần Phương pháp thử) |
5.2. Độ tinh khiết |
|
Giảm khối lượng khi làm khô |
Không được quá 1%. (phương pháp Karl Fisher) |
Tro sulfat |
Không được quá 0,1% |
|
Clorid |
Không được quá 50 mg/kg |
Sulfat |
Không được quá 100 mg/kg |
|
Nickel |
Không được quá 2 mg/kg |
Đường khử |
Không được quá 0,3% |
Đường tổng số |
Không được quá 1,0% (tính theo glucose) |
Chì |
Không được quá 1 mg/kg |
5.3. Hàm lượng |
Không được thấp hơn 97,0% C6H14O6 trong tổng các glycitol và không được thấp hơn 91,0% sorbitol tính theo chế phẩm khô. Thuật ngữ glycitol chỉ các hợp chất có công thức CH2OH-(CHOH)n-CH2OH, n £ 4. |
6. Phương pháp thử |
|
6.1. Định tính |
|
Sắc kí lớp mỏng |
Tiến hành theo chỉ dẫn ở phần Sắc kí lớp mỏng của các Polyol tại JECFA monograph 1 - Vol.4. Sử dụng như sau: Dung dịch chuẩn Hòa tan 50 mg sorbitol chuẩn đối chiếu USP trong 20 ml nước Dung dịch thử Hòa tan 50 mg mẫu thử trong 20 ml nước |
6.2. Độ tinh khiết |
|
Tro sulfat |
Thử theo hướng dẫn tại JECFA monograph 1 - Vol.4-Phương pháp I-Thử trên 2 g mẫu thử. |
Clorid |
Thử theo hướng dẫn tại JECFA monograph 1 - Vol.4-Thử trên 10 g mẫu thử bằng Phép thử giới hạn clorid, dùng 1,5 ml acid hydrocloric 0,01 N làm dung dịch đối chứng. |
Sulfat |
Thử theo hướng dẫn tại JECFA monograph 1 - Vol.4-Thử trên 10 g mẫu thử bằng Phép thử giới hạn sulfat, dùng 2,0 ml acid sulfuric 0,01 N làm dung dịch đối chứng. |
Đường khử |
Thử theo hướng dẫn tại JECFA monograph 1 - Vol.4 - phần Các chất khử (tính theo glucose), Phương pháp II. Khối lượng của đồng (I) oxyd phải không vượt quá 50 mg. |
Đường tổng số |
Thử theo hướng dẫn tại JECFA monograph 1 - Vol.4-Cho 2,1 g mẫu thử vào bình 250 ml lắp khít với một ống nối thủy tinh mài, thêm 40 ml acid hydrocloric 0,1 N, lắp sinh hàn hồi lưu, và đun hồi lưu trong 4 giờ. Chuyển dung dịch này sang cốc 400 ml, rửa sạch bình với khoảng 10 ml nước, trung tính bằng natri hydroxyd 6 N và tiến hành như chỉ dẫn trong phần các chất khử (tính theo glucose), Phương pháp II. Khối lượng của đồng (I) oxyd phải không vượt quá 50 mg. |
Chì |
Thử theo hướng dẫn tại JECFA monograph 1 - Vol.4. Sử dụng kỹ thuật hấp thụ nguyên tử thích hợp cho hàm lượng quy định để xác định. Lựa chọn cỡ mẫu thử và phương pháp chuẩn bị mẫu dựa trên nguyên tắc của phương pháp mô tả trong JECFA monograph 1 - Vol.4 phần các phương pháp phân tích công cụ. |
6.3. Định lượng |
Sử dụng sắc kí lỏng để xác định hàm lượng Sorbitol của mẫu thử (xem JECFA monograph 1 - Vol.4) Thiết bị Sắc kí lỏng (HPLC) Phát hiện: detector đo độ khúc xạ duy trì ở nhiệt độ không đổi Máy ghi tích phân Cột: AMINEX HPX 87 C (nhựa ở dạng calci), dài 30 cm, đường kính trong 9 mm Dung môi rửa giải: nước cất hai lần được loại khí (lọc qua màng lọc Millipore 0,45 µm) Điều kiện sắc kí Nhiệt độ cột: 85±0,5oC Lưu lượng dòng: 0,5 ml /phút Dung dịch chuẩn Hòa tan một lượng cân chính xác Sorbitol chuẩn đối chiếu trong nước để thu được dung dịch có nồng độ khoảng 10,0 mg/ml. Dung dịch thử Cho khoảng 1 g mẫu thử cân chính xác vào bình định mức 50 ml, pha loãng bằng nước đến vạch và lắc đều. Tiến hành Tiêm riêng biệt cùng thể tích (khoảng 20 µL) dung dịch thử và dung dịch chuẩn vào hệ thống sắc kí. Ghi sắc đồ và đo đáp ứng của pic Sorbitol. Tính khối lượng (mg) của Sorbitol trong phần mẫu thử đã lấy định lượng theo công thức sau:
Trong đó: C = nồng độ, mg/ml, Sorbitol trong dung dịch chuẩn At = đáp ứng của pic Sorbitol của dung dịch thử Ac = đáp ứng của pic Sorbitol của dung dịch chuẩn. |