TIÊU CHUẨN QUỐC GIA
TCVN 7777-1 : 2008
ISO/IEC GUIDE 43-1 : 1997
THỬ NGHIỆM THÀNH THẠO BẰNG SO SÁNH LIÊN PHÒNG THÍ NGHIỆM -LẦN 1: XÂY DỰNG VÀ TRlỂN KHAI CÁC CHƯƠNG TRÌNH THỬ NGHIỆM THÀNH THẠO
Proficiency testing by interlaboratory comparisons- Part 1: Development and operation of proficiency testing schemes
Lời nói đầu
TCVN 7777-1 : 2008 hoàn toàn tương đương với ISO/IEC Guide 43-1 : 1997.
TCVN 7777-1 : 2008 do Ban kỹ thuật tiêu chuẩn TCVN/TC 176 Quản lý chất lượng và đảm bảo chất lượng biên soạn, Tổng cục Tiêu chuẩn Đo lường Chất lượng đề nghị, Bộ Khoa học và Công nghệ công bố.
TCVN 7777-1 : 2008 là một phần của bộ tiêu chuẩn TCVN 7777 (ISO/IEC Guide 43). Bộ tiêu chuẩn này gồm 2 phần có tên chung Thử nghiệm thành thạo bằng so sánh liên phòng thí nghiệm:
- Phần 1: Xây dựng và triển khai các chương trình thử nghiệm thành thạo.
- Phần 2: Lựa chọn và sử đụng các chương trình thử nghiệm thành thạo của tổ chức công nhận phòng thí nghiệm.
Lời giới thiệu
So sánh liên phòng thí nghiệm (sau đây gọi là so sánh liên phòng) được thực hiện với nhiều mục đích và có thể có sự tham gia của các phòng thí nghiệm và các bên khác
Ví dụ, so sánh liên phòng được sử dụng để:
a) xác định việc thực hiện của các phòng thí nghiệm riêng lẻ đối với các phép đo hoặc thử nghiệm cụ thể và để theo dõi hoạt động liên tục của các phòng thí nghiệm
b) nhận biết các vấn đề trong các phòng thí nghiệm và có ngay những hành động khắc phục ví dụ như liên quan đến nhân viên thực hiện hay hiệu chuẩn thiết bị;
c) thiết lập tính hiệu lực và khả năng so sánh của các phương pháp thử hay phương pháp đo mới và tương tự như vậy để theo dõi các phương pháp được thiết lập;
d) cung cấp thêm bằng chứng cho khách hàng của phòng thí nghiệm;
e) nhận biết sự khác nhau giữa các phòng thí nghiệm;
f) xác định các đặc điểm tính năng của phương pháp - thường là thử nghiệm phối hợp;
g) ấn định giá trị cho mẫu chuẩn và đánh giá sự phù hợp để sử dụng trong các quy trình đo lường và thử nghiệm cụ thể.
Thử nghiệm thành thạo được dùng trong so sánh liên phòng với mục đích a), nghĩa là xác định việc thực hiện hoạt động đo lường và thử nghiệm của phòng thí nghiệm. Tuy nhiên việc triển khai các chương trình thử nghiệm thành thạo cũng thường cung cấp thông tin cho các mục đích khác nêu trên.
Việc tham gia vào các chương trình thử nghiệm thành thạo cung cấp cho các phòng thí nghiệm độ tin cậy về các dữ liệu mà họ đưa ra với phương pháp đánh giá và thể hiện khách quan. Mặc dù có một số loại chương trình thử nghiệm thành thạo (xem điều 4), nhưng phần lớn đều có đặc trưng chung về so sánh kết quả thử nghiệm, đo lường thu được từ hai hay nhiều phòng thí nghiệm.
Một trong số các ưu điểm chính của các chương trình thử nghiệm thành thạo là để đánh giá năng lực thực hiện phép thử một cách thành thạo của các phòng thí nghiệm. Việc này có thể bao gồm việc tự đánh giá của phòng thí nghiệm, đánh giá của khách hàng hoặc của các bên khác như các tổ chức công nhận, hoặc cơ quan có thẩm quyền. Vì vậy nó sẽ bổ sung cho các thủ tục kiểm soát chất lượng nội bộ của các phòng thí nghiệm thông qua việc cung cấp biện pháp bổ sung bên ngoài về khả năng thử nghiệm của họ. Hoạt động này cũng nâng cao kỹ thuật đánh giá tại chỗ phòng thí nghiệm của các chuyên gia kỹ thuật (thường được sử dụng bởi các tổ chức công nhận phòng thí nghiệm). Sự tin cậy vào kết quả mà phòng thử nghiệm hay hiệu chuẩn đạt được một cách nhất quán là điều có tầm quan trọng lớn đối với khách hàng sử dụng dịch vụ thử nghiệm. Những khách hàng tìm kiếm sự đảm bảo như vậy có thể tự đánh giá các kết quả thử nghiệm hoặc sử dụng việc đánh giá của các tổ chức khác.
Trong khi tiêu chuẩn này nhấn mạnh vào việc triển khai hoạt động so sánh liên phòng đối với thử nghiệm thành thạo, thì phần lớn các nguyên tắc và hướng dẫn được đưa ra có thể áp dụng cho việc triển khai các so sánh liên phòng với những mục đích khác.
Trong khi có nhiều tổ chức công nhận phòng thí nghiệm triển khai các chương trình thử nghiệm thành thạo của riêng họ, thì cũng có một số lượng đáng kể sử dụng các chương trình thử nghiệm thành thạo hoặc các phương thức so sánh liên phòng khác do tổ chức khác thực hiện. Mục đích của TCVN 7777-2 : 2008 là đưa ra các nguyên tắc hài hòa cho việc lựa chọn phương thức so sánh liên phòng phù hợp để dùng làm chương trình thử nghiệm thành thạo của các tổ chức công nhận phòng thí nghiệm.
Phần lớn các tổ chức đánh giá năng lực kỹ thuật của phòng thí nghiệm yêu cầu hoặc mong đợi việc thực hiện thoả đáng các chương trình thử nghiệm thành thạo như là bằng chứng quan trọng về khả năng đưa ra các kết quả tin cậy của phòng thí nghiệm (trừ trường hợp thử nghiệm thành thạo là không thích hợp).
Tuy nhiên cần nhấn mạnh rằng có một sự khác biệt lớn giữa:
a) đánh giá năng lực phòng thí nghiệm thông qua việc đánh giá toàn bộ hoạt động dựa trên các yêu cầu đã được xác định, và
b) việc kiểm tra kết quả tham gia thử nghiệm thành thạo của phòng thí nghiệm chỉ có thể được xem là cung cấp thông tin về năng lực kỹ thuật của phòng thử nghiệm ở một thời điểm nhất định trong các điều kiện cụ thể của phép thử (hay các phép thử) trong một chương trình thử nghiệm thành thạo cụ thể.
Tiêu chuẩn này có tham khảo một số tài liệu hướng dẫn liên quan đến thử nghiệm thành thạo của các tổ chức: ILAC; ISO (TC69); ISO/REMCO; IUPAC; AOAC; ASTM và WECC, WELAC (nay sát nhập thành EAL).
THỬ NGHIỆM THÀNH THẠO BẰNG SO SÁNH LIÊN PHÒNG THÍ NGHIỆM -LẦN 1: XÂY DỰNG VÀ TRlỂN KHAI CÁC CHƯƠNG TRÌNH THỬ NGHIỆM THÀNH THẠO
Proficiency testing by interlaboratory comparisons- Part 1: Development and operation of proficiency testing schemes
1. Phạm vi áp dụng
Trong khi có nhiều ưu điểm của việc so sánh liên phòng cùng với sự đa dạng trong thiết kế và thực thi, thì vẫn có thể quy định những nguyên tắc thiết yếu cần được xem xét khi tổ chức việc so sánh này. Tiêu chuẩn này xác định các nguyên tắc và mô tả các yếu tố tính đến trong tổ chức và thực hiện các chương trình thử nghiệm thành thạo.
TCVN 7777-2 : 2008 mô tả cách thức mà tổ chức công nhận phòng thí nghiệm đánh giá năng lực kỹ thuật của các phòng thí nghiệm, cần lựa chọn và sử dụng các chương trình thử nghiệm thành thạo.
Tiêu chuẩn này nhằm mục đích sử dụng cho người triển khai và người sử dụng chương trình thử nghiệm thành thạo như các phòng thí nghiệm tham gia, tổ chức công nhận, cơ quan có thẩm quyền và khách hàng của các dịch vụ thí nghiệm có nhu cầu đánh giá năng lực kỹ thuật của phòng thí nghiệm. Tiêu chuẩn này cũng đặc biệt hữu ích trong việc tự đánh giá của các phòng thí nghiệm, nhưng cũng phải thừa nhận rằng thử nghiệm thành thạo chỉ là một phương pháp có thể góp phần vào việc thiết lập sự tin cậy lẫn nhau giữa những người sử dụng các phòng thí nghiệm khác nhau.
Hiện tại đây cũng là điều kiện của một số tổ chức công nhận yêu cầu các phòng thí nghiệm tham gia thường xuyên vào các chương trình thử nghiệm thành thạo mà tổ chức công nhận đã chấp nhận là phù hợp về mục đích. Vì vậy, điều thiết yếu là những người triển khai các chương trình thử nghiệm này phải tuân thủ các nguyên tắc để quản lý một cách chuyên nghiệp các chương trình thử nghiệm thành thạo trong cả yêu cầu kỹ thuật, thủ tục thống kê (xem ví dụ trong Phụ lục A) và trong quản lý chất lượng (xem hướng dẫn trong Phụ lục B).
Phương pháp triển khai trong phạm vi các tổ chức thử nghiệm thành thạo khác nhau không nhất thiết phải hoàn toàn tương đương và tiêu chuẩn này không đưa ra hướng dẫn chi tiết cho hoạt động triển khai cụ thể trong so sánh liên phòng. Nội dung của tiêu chuẩn chỉ nhằm thiết lập khuôn khổ chung trên cơ sở đó có thể sửa đổi cho phù hợp với từng hoàn cảnh cụ thể, bao gồm cả những chương trình có số lượng người tham gia nhiều hay ít.
Tiêu chuẩn này không đề cập đến kỹ thuật mà các tổ chức thường dùng để đánh giá việc thực hiện của phòng thí nghiệm đơn lẻ thông qua việc giao nộp mẫu chuẩn được chứng nhận hoặc các mẫu thí nghiệm tiêu biểu khác.
Thư mục tài liệu tham khảo được nêu trong Phụ lục C.
2. Tài liệu viện dẫn
Các tài liệu viện dẫn dưới đây rất cần thiết cho việc áp dụng tiêu chuẩn này. Đối với các tài liệu ghi năm công bố thì áp dụng bản được nêu. Đối với các tài liệu không ghi năm công bố thì áp dụng bản mới nhất, bao gồm cả các sửa đổi.
ISO 3534-1:1993, Statistics - Vocabulary and symbols - Part 1: Probability and general statistical terms (Thống kê - Từ vựng và ký hiệu - Phần 1: Xác suất và thuật ngữ chung về thống kê)
TCVN 6910-1 : 2001 (ISO 5725-1 : 1994), Độ chính xác (độ đúng và độ chụm) của phương pháp đo và kết quả đo - Phần 1: Nguyên tắc và định nghĩa chung
TCVN 6910-2 : 2001 (ISO 5725-2 : 1994), Độ chính xác (độ đúng và độ chụm) của phương pháp đo và kết quả đo - Phần 2: Phương pháp cơ bản xác định độ lập lại và độ tái lập của phương pháp đo tiêu chuẩn
TCVN 6910-4 : 2001 (ISO 5725-4 : 1994), Độ chính xác (độ đúng và độ chụm) của phương pháp đo V kết quả đo - Phần 4: Các phương pháp cơ bản xác định độ đúng của phương pháp đo tiêu chuẩn
Bộ tiêu chuẩn TCVN ISO 9000 về Hệ thống quản lý chất lượng
TCVN 6450 : 2007 (ISO/IEC Guide 2 : 2004), Tiêu chuẩn hoá và các hoạt động liên quan - Thuật ngữ chung
TCVN ISO/IEC 17025 : 2007 (ISO/IEC 17025 : 2005), Yêu cầu chung về năng lực của phòng thí nghiệm và hiệu chuẩn
TCVN 7777-2 : 2008 (ISO/IEC Guide 43-2 : 1997), Thử nghiệm thành thạo bằng so sánh liên phòng thí nghiệm - Phần 2: Lựa chọn và ứng dụng chương trình thử nghiệm thành thạo của tổ chức công nhận phòng thí nghiệm
Guide to Expression of Uncertainty in Measurement: 1993, issued by BIPM; IEC; IFCC; ISO; IUPA; IUPAP; OIML (Hướng dẫn thể hiện độ không đảm bảo đo do BIPM; IEC; IFCC; ISO; IUPAC; IUP/ OIML ban hành)
International vocabulary of basic and general terms in metrology :1993, issued by BIPM; IEC; IFCC; ISO; IUPAP; OIML (Từvựng quốc tế về thuật ngữ chung và cơ bản trong đo lường do BIPM- IEC; IFCC; ISO; IUPAP; OIML ban hành) [VIM 1993]
The international Harmonized Protocol for the Proficiency Testing of (Chemical) Analytical Laboratories (Thoả thuận hài hoà quốc tế về thử nghiệm thành thạo của Phòng thí nghiệm phân tích (hoá học)).
Evaluation of Matrix Effects: Proposed Guideline, NCCLS Document EP - 14P, National Committee for Clinical Laboratory Standards, Villanova, PA, 1994 (Đánh giá những ảnh hưởng ma trận: Hướng dẫn đề xuất của Ban kỹ thuật quốc gia về các tiêu chuẩn của Phòng thí nghiệm y tế)
3. Thuật ngữ và định nghĩa
Tiêu chuẩn này áp dụng các định nghĩa dưới đây. Một số định nghĩa được trích từ các Hướng dẫn của ISO và Tiêu chuẩn quốc tế khác.
3.1
Phép thử (test)
Hoạt động kỹ thuật bao gồm việc xác định một hoặc nhiều đặc tính của một sản phẩm, quá trình hay dịch vụ theo một thủ tục quy định.
[TCVN 6450 : 2007 (ISO/IEC Guide 2)]
3.2
Phòng thử nghiệm (testing laboratory)
Phòng thí nghiệm thực hiện các thử nghiệm
CHÚ THÍCH: Thuật ngữ “phòng thử nghiệm” có thể được dùng theo nghĩa một thực thể pháp lý, kỹ thuật hoặc cả hai trường hợp
[TCVN 6450 : 2007 (ISO/IEC Guide 2)]
3.3
Mẫu thử nghiệm (test item)
Vật liệu hoặc mẫu phương tiện đo giao nộp cho phòng thí nghiệm tham gia hoạt động thử nghiệm thành thạo.
3.4
Phương pháp thử (test method)
Quy trình kỹ thuật xác định để thực hiện thử nghiệm.
[TCVN 6450 : 2007 (ISO/IEC Guide 2)]
3.5
Kết quả thử (test result)
Giá trị của đặc tính thu được sau khi thực hiện hoàn chỉnh một phương pháp đo xác định.
[TCVN 6910-1 : 2001 (ISO 5725-1 : 1994)]
3.6
Thử nghiệm thành thạo (phòng thí nghiệm) ((laboratory) proficiency testing)
Việc xác định hoạt động thử nghiệm của phòng thí nghiệm bằng so sánh liên phòng.
[TCVN 6450 : 2007 (ISO/IEC Guide 2)]
CHÚ THÍCH: Với mục đích của tiêu chuẩn này, thuật ngữ thử nghiệm thành thạo phòng thí nghiệm được dùng với nghĩa rộng nhất và bao gồm, ví dụ như:
a) Chương trình định tính - ví dụ trường hợp các phòng thí nghiệm được yêu cầu xác định một thành phần của mẫu thử nghiệm.
b) Thực hiện biến đổi dữ liệu - ví dụ trường hợp các phòng thí nghiệm được cung cấp tập dữ liệu và được yêu cầu vận dụng dữ liệu để cung cấp thêm thông tin.
c) Thử nghiệm mẫu đơn - trường hợp một mẫu được gửi tới một số phòng thí nghiệm một cách liên tục và trở người tổ chức sau một khoảng thời gian.
d) Thực hiện một lần - trường hợp phòng thí nghiệm được cung cấp mẫu thử nghiệm cho một thời điểm đơn lẻ.
e) Chương trình liên tục - trường hợp phòng thí nghiệm được cung cấp đều đặn các mẫu thử nghiệm trên cơ liên tục.
f) Lấy mẫu - ví dụ khi cá nhân hay tổ chức được yêu cầu lấy mẫu cho phân tích tiếp theo.
3.7
So sánh liên phòng (interlaboratory comparisons)
Việc tổ chức, thực hiện và đánh giá các thử nghiệm trên cùng một mẫu thử nghiệm hoặc mẫu thử nghiệm tương tự được thực hiện bởi hai hay nhiều phòng thí nghiệm theo các điều kiện xác định trước
CHÚ THÍCH: Trong một số trường hợp, một trong các phòng thí nghiệm tham gia vào so sánh liên phòng có thể phòng thí nghiệm cung cấp giá trị ấn định cho mẫu thử nghiệm.
3.8
Mẫu chuẩn (RM) (reference material)
Vật liệu hoặc chất có một hay nhiều giá trị về tính chất của nó được xác định đủ đồng nhất và tốt hiệu chuẩn một thiết bị, đánh giá một phương pháp đo hoặc để ấn định các giá trị của vật liệu.
[TCVN 6165:1996 (VIM:1993), 6.13]
3.9
Mẫu chuẩn được chứng nhận (CRM) (Certified reference material)
Mẫu chuẩn có kèm theo giấy chứng nhận, trong đó một hay nhiều giá trị về tính chất của nó được chứng nhận theo một thủ tục nhằm thiết lập sự liên kết với việc thể hiện chính xác đơn vị mà theo đó các giá trị về tính chất được biểu thị ra và mỗi giá trị được chứng nhận có kèm theo độ không đảm bảo tương ứng ở mức tin cậy quy định.
[TCVN 6165:1996 (VIM:1993), 6.14]
3.10
Phòng thí nghiệm quy chiếu (reference laboratory)
Phòng thí nghiệm cung cấp giá trị quy chiếu cho một mẫu thử nghiệm.
CHÚ THÍCH: Ví dụ như Phòng hiệu chuẩn quốc gia.
3.11
Giá trị ấn định (assigned value)
Giá trị quy cho một đại lượng riêng biệt và được chấp nhận, đôi khi bằng thỏa ước, có độ không đảm bảo phù hợp với mục đích đã định.
[TCVN 6165:1996 (VIM:1993), 1.20 và chú thích 1 và 2)
3.12
Tính liên kết chuẩn (traceability)
Tính chất của kết quả đo hoặc giá trị của một chuẩn mà nhờ đó có thể liên hệ tới những chuẩn đã định, thường là chuẩn quốc gia hay quốc tế, thông qua một chuỗi so sánh không gián đoạn với những độ không đảm bảo đã định.
[TCVN 6165:1996 (VIM:1993), 6.10]
3.13
Điều phối viên (coordinator)
Tổ chức (hay cá nhân) có trách nhiệm điều phối tất cả các hoạt động liên quan trong việc triển khai một chương trình thử nghiệm thành thạo.
3.14
Độ đúng (trueness)
Mức độ gần nhau giữa giá trị trung bình của một dãy lớn các kết quả thử nghiệm và giá trị quy chiếu được chấp nhận.
[ISO 3534-1]
3.15
Độ chụm (precision)
Mức độ gần nhau giữa các kết quả thử nghiệm độc lập nhận được trong điều kiện quy định.
[ISO 3534-1]
3.16
Giá trị bất thường (outlier)
Phần tử của một tập hợp các giá trị không phù hợp với các phần tử khác của tập hợp đó [TCVN 6910-1 : 2001 (ISO 5725-1 : 1994)]
3.17
Kết quả ngoại biên (extreme results)
Giá trị bất thường và các giá trị khác hoàn toàn không phù hợp với các phần tử khác của tập hợp tài liệu.
CHÚ THÍCH: Những kết quả này có thể có ảnh hưởng lớn đến thống kê tổng hợp như độ lệch trung bình và độ lệch chuẩn.
3.18
Kỹ thuật thống kê thô (robust statistical techniques)
Kỹ thuật để hạn chế ảnh hưởng của các kết quả ngoại biên gây ra cho việc ước lượng độ lệch trung bình và độ lệch chuẩn.
CHÚ THÍCH: Những kỹ thuật này chỉ giảm bớt ảnh hưởng của các kết quả ngoại biên chứ không loại được chúng khỏi tập hợp dữ liệu.
3.19
Độ không đảm bảo đo (uncertainty of measurement)
Thông số gắn với kết quả của phép đo, đặc trưng cho sự phân tán của các giá trị có thể quy cho số lượng đo một cách hợp lý.
[TCVN 6165:1996 (VIM:1993), 3.9]
4. Các loại thử nghiệm thành thạo
4.1. Khái quát
Các kỹ thuật thử nghiệm thành thạo khác nhau tuỳ thuộc vào tính chất của mẫu thử nghiệm, phương pháp sử dụng và số lượng phòng thí nghiệm tham gia. Phần lớn có đặc trưng chung là so sánh kết qủa thu được của một phòng thí nghiệm với các kết quả thu được từ một hoặc nhiều phòng thí nghiệm khác. Trong một số chương trình, một trong các phòng thí nghiệm tham gia có thể có chức năng kiểm soát điều phối hoặc quy chiếu.
Dưới đây là các loại chương trình thử nghiệm thành thạo phổ biến.
4.2 .Chương trình so sánh đo lường
Chương trình so sánh đo lường đòi hỏi mẫu thử cần đo hay hiệu chuẩn phải được luân chuyển liên tiếp từ phòng thí nghiệm tham gia này đến phòng thí nghiệm kế tiếp. Thông thường đặc trưng của các chương trình này là:
a) Giá trị ấn định cho mẫu thử nghiệm do phòng thí nghiệm quy chiếu cung cấp, đây có thể là cơ quan quyền lực cao nhất của quốc gia đối với phép đo liên quan. Mẫu thử nghiệm có thể cần được kiểm tra ở những giai đoạn nhất định trong suốt quá trình tiến hành thử nghiệm thành thạo. Điều này nhằm đảm bảo không có thay đổi đáng kể nào về giá trị ấn định trong suốt quá trình thử nghiệm thành thạo.
b) Để hoàn thành các chương trình này đòi hỏi sự tham gia liên tục (trong một số trường hợp cần đến hàng năm). Điều này gây nên một số khó khăn như: đảm bảo độ ổn định của mẫu thử nghiệm; theo dõi chặt chẽ việc luân chuyển và thời gian cho phép đối với phép đo của riêng các bên tham gia; và sự cần thiết phải cung cấp thông tin phản hồi về việc thực hiện đơn lẻ cho các phòng thí nghiệm trong suốt quá trình triển khai chương trình thử nghiệm chứ không phải chờ đến khi kết thúc. Ngoài ra, việc so sánh kết quả theo nhóm sẽ có thể khó khăn vì có thể có tương đối ít phòng thí nghiệm có năng lực đo tương xứng nhau.
c) Các kết quả đo riêng lẻ được so sánh với giá trị quy chiếu do phòng thí nghiệm quy chiếu thiết lập. Điều phối viên phải tính đến độ không đảm bảo đo của từng phòng thí nghiệm tham gia.
d) Các ví dụ về mẫu thử nghiệm (mẫu phương tiện đo) được dùng trong loại thử nghiệm thành thạo này bao gồm cả các chuẩn chính (ví dụ điện trở, dưỡng và phương tiện đo)
4.3. Chương trình thử nghiệm liên phòng
Chương trình thử nghiệm liên phòng với các mẫu thử được chọn ngẫu nhiên từ nguồn vật liệu được phân phối đồng thời cho các phòng thí nghiệm tham gia để cùng thử nghiệm. Đôi khi kỹ thuật này cũng được sử dụng cho chương trình đo liên phòng. Sau khi hoàn thành thử nghiệm, kết quả được gửi trở lại cơ quan điều phối và được so sánh với (các) giá trị ấn định để đưa ra chỉ số việc thực hiện của phòng thí nghiệm đơn lẻ và của toàn bộ nhóm.
Các ví dụ về mẫu thử nghiệm được dùng trong loại thử nghiệm thành thạo này bao gồm thực phẩm, chất lưu của cơ thể, nước, đất và vật liệu môi trường khác. Trong một vài trường hợp, các phần riêng lẻ của mẫu chuẩn được thiết lập (chứng nhận) trước khi được luân chuyển.
Điều thiết yếu là mỗi lô mẫu thử nghiệm cung cấp cho các bên tham gia trong mỗi chu kỳ phải đủ đồng nhất để bất kỳ kết quả nào sau đó được xác định là ngoại biên không được quy cho bất kỳ sự biến đổi đáng kể nào của mẫu thử nghiệm, (xem 5.6.2 và A.4 trong Phụ lục A)
Chương trình thử nghiệm liên phòng thường được tổ chức công nhận, cơ quan có thẩm quyền và các chức khác sử dụng, khi họ áp dụng các chương trình trong lĩnh vực thử nghiệm.
Một loại chương trình thử nghiệm liên phòng phổ biến là thiết kế "phân cấp” trong đó các mức của lượng đo tương tự nhau (nhưng không đồng nhất) thuộc hai mẫu thử nghiệm riêng biệt. Thiết kế này được sử dụng để ước lượng độ chụm của phòng thí nghiệm ở một mức xác định của đại lượng đo.Điều này nhằm tránh các vấn đề liên quan đến phép đo lặp lại trên cùng mẫu thử nghiệm hoặc kết hợp mẫu thử nghiệm giống nhau trong cùng một chu kỳ thử nghiệm thành thạo.
4.4. Chương trình thử nghiệm với mẫu tách
Một dạng thử nghiệm thành thạo đặc biệt thường được khách hàng của các phòng thí nghiệm, bao gồm cả các cơ quan có thẩm quyền sử dụng là kỹ thuật thử với mẫu tách. (Không nên nhầm lẫn kỹ thuật với chương trình phân cấp nêu trong 4.3).
Thông thường thử nghiệm với mẫu tách dùng trong so sánh dữ liệu được đưa ra bởi nhóm nhỏ cho (phòng thí nghiệm (thường chỉ hai phòng thí nghiệm) đang được đánh giá là nhà cung ứng dịch vụ thí nghiệm tiềm năng hay liên tục.
So sánh liên phòng tương tự thường được thực hiện trong giao dịch thương mại khi các mẫu thử nghiệm đại diện mặt hàng thương mại được phân chia giữa phòng thí nghiệm đại diện cho người cung ứng phòng thí nghiệm khác đại diện cho người mua. Mẫu thử nghiệm bổ sung thường được giữ lại cho phòng thí nghiệm của bên thứ ba để kiểm tra khi cần sự phân xử trong trường hợp có sự khác nhau đáng kể giữa kết quả do phòng thí nghiệm phía người cung ứng và phòng thí nghiệm phía người đưa ra.
Chương trình thử nghiệm với mẫu tách đòi hỏi các mẫu của một sản phẩm hay vật liệu được tách thành hai hay nhiều phần với từng phòng thí nghiệm tham gia thử nghiệm một phần của từng mẫu. Các chương trình này khác với dạng thử nghiệm thành thạo mô tả ở 4.3, vì thường có rất ít phòng thí nghiệm tham gia (thường là hai). Các ứng dụng của loại chương trình này bao gồm việc nhận biết độ ..thấp, việc mô tả độ dốc đồng nhất và xác nhận tính hiệu lực của hành động khắc phục.
Các chương trình này thường cần lưu đủ vật liệu để giải quyết mọi khác biệt nhận biết được giữa ... các phòng thí nghiệm đã tham gia bằng các phân tích sâu hơn của các phòng thí nghiệm bổ sung.
Một kỹ thuật thử với mẫu tách tương tự cũng được sử dụng trong việc giám sát phòng thí nghiệm y tế môi trường. Thông thường, các chương trình này bao gồm kết quả từ một số mẫu tách phủ kho nồng độ rộng được so sánh giữa một phòng thí nghiệm riêng lẻ với một hay nhiều phòng thí nghiệm khác. Với những chương trình này, một trong số các phòng thí nghiệm có thể được coi là hoạt động trình độ đo lường cao hơn (nghĩa là độ không đảm bảo ở mức thấp hơn) nhờ ứng dụng phương pháp quy chiếu và thiết bị hiện đại hơn,... Kết quả của các phòng thí nghiệm này có thể được coi là giá trị quy chiếu trong các so sánh liên phòng này và có thể đóng vai trò phòng thí nghiệm tư vấn hay hướng dẫn đối với các phòng thí nghiệm khác trong việc so sánh dữ liệu của thử nghiệm tách mẫu với nó.
4.5. Chương trình định tính
Đánh giá việc thực hiện thử nghiệm của phòng thí nghiệm không nhất thiết phải tham gia vào so sánh liên phòng [(xem điểm a) trong chú thích của 3.6], Ví dụ một số chương trình được thiết kế để đánh giá khả năng của phòng thí nghiệm nhằm mô tả các thực thể cụ thể (ví dụ như dạng amiăng nhận dạng sinh vật gây bệnh đặc trưng,...).
Chương trình này có thể cần sự chuẩn bị đặc biệt các mẫu thử nghiệm với sự bổ sung thành phần phụ thuộc của điều phối viên chương trình. Như vậy, các chương trình này về bản chất là "định tính'' và không cần sự tham gia của nhiều phòng thí nghiệm hay so sánh liên phòng để đánh giá việc thực hiện thử nghiệm của phòng thí nghiệm.
4.6. Chương trình cho trước giá trị
Một dạng chương trình thử nghiệm thành thạo đặc biệt khác có thể đòi hỏi phải chuẩn bị các mẫu thử nghiệm với số lượng đã biết của đại lượng đo được thử. Sau đó có thể đánh giá khả năng của phòng thí nghiệm riêng lẻ trong việc thử nghiệm các mẫu và cung cấp kết quả bằng số để so sánh với giá trị ấn định. Loại chương trình này cũng không cần sự tham gia của nhiều phòng thí nghiệm.
4.7. Chương trình thực hiện từng phần quá trình
Các dạng đặc biệt của thử nghiệm thành thạo đòi hỏi việc đánh giá năng lực của phòng thí nghiệm để thực hiện các phần của quá trình thử nghiệm hoặc đo lường tổng thể. Ví dụ, một vài chương trình hiện có đánh giá năng lực của phòng thí nghiệm trong việc biến đổi và báo cáo một tập hợp dữ liệu cho trước (thay vì tiến hành phép thử hoặc phép đo thực) hoặc lấy mẫu và chuẩn bị mẫu hay bộ mẫu theo quy định kỹ thuật.
5. Tổ chức và thiết kế
5.1. Phạm vi
5.1.1. Giai đoạn thiết kế của bất kỳ chương trình thử nghiệm thành thạo nào đều đòi hỏi sự tham gia của chuyên gia kỹ thuật, thống kê viên và điều phối viên chương trình nhằm đảm bảo sự thành công và việc triển khai một cách suôn sẻ.
5.1.2. Điều phối viên, thông qua việc trao đổi với những người khác, cần xây dựng chương trình phù hợp với thử nghiệm thành thạo cụ thể. Một chương trình thử nghiệm thành thạo cần được thiết kế nhằm tránh bất kỳ sự nhầm lẫn nào về mục đích của nó. Kế hoạch cần được thống nhất và lặp thành văn bản (xem Phụ lục B) trước khi bắt đầu chương trình và thường bao gồm các thông tin sau:
a) tên và địa chỉ của tổ chức tiến hành chương trình thành thạo;
b) tên và địa chỉ của điều phối viên và những người khác tham gia vào việc thiết kế và triển khai chương trình thành thạo;
c) bản chất và mục đích của chương trình thành thạo;
d) thủ tục về cách thức lựa chọn người tham gia, khi thích hợp, hoặc các tiêu chí cần đáp ứng trước được phép tham gia;
e) tên và địa chỉ của phòng thí nghiệm hay các phòng thí nghiệm thực hiện (những phần của) chương trình (ví dụ lấy mẫu, xử lý mẫu, thử nghiệm tính đồng nhất và ấn định giá trị) và số lượng người tham gia dự kiến;
f) bản chất của (các) mẫu thử nghiệm và (các) phép thử được lựa chọn cũng như bản mô tả tóm tắt việc xem xét ưu tiên các lựa chọn;
g) bản mô tả về cách thức nhận, xử lý, kiểm tra và vận chuyển mẫu thử nghiệm;
h) bản mô tả các thông tin cung cấp cho người tham gia vào giai đoạn thông báo này và kế hoạch thời gian cho các giai đoạn khác nhau của thử nghiệm thành thạo;
i) kỳ hạn hay thời hạn bắt đầu và kết thúc dự kiến của chương trình thành thạo bao gồm cả thời hạn cho người tham gia thực hiện thử nghiệm;
j) tần suất phân phối mẫu thử nghiệm với những chương trình liên tiếp;
k) thông tin về phương pháp hay thủ tục mà người tham gia có thể cần sử dụng để thực hiện các phòng thử hay phép đo (thường là thủ tục thông thường);
l) bản sơ lược về phân tích thống kê cần sử dụng, bao gồm việc xác định các giá trị ấn định và bất kỳ kỹ thuật phát hiện giá trị bất thường nào;
m) bản mô tả thông tin hoặc dữ liệu được gửi trở lại cho người tham gia;
n) cơ sở của kỹ thuật đánh giá việc thực hiện;
o) bản mô tả phạm vi công khai kết quả phép thử và kết luận dựa trên kết quả thử nghiệm thành thạo
5.2. Nhân viên
Nhân viên tham gia vào việc cung cấp chương trình cần có, hoặc cộng tác chặt chẽ với người đủ năng lực và kinh nghiệm trong thiết kế, triển khai và lập báo cáo về các so sánh liên phòng cũng cần có cả các kỹ năng về kỹ thuật, thống kê và quản trị thích hợp.
5.2.2. Như đã nêu trong 5.1.1, việc triển khai so sánh liên phòng cụ thể cũng đòi hỏi chỉ dẫn của người am hiểu chi tiết về kỹ thuật và có kinh nghiệm về phương pháp và thủ tục thử nghiệm liên quan. Với mục đích này, điều phối viên có thể cần tuyển chọn một hay nhiều cá nhân thích hợp để làm việc như nhóm tư vấn, ví dụ được lấy ra từ cơ quan chuyên ngành, phòng thí nghiệm thầu (nếu có), những người tham gia chương trình hay người sử dụng dữ liệu.
5.2.3. Chức năng của nhóm tư vấn này có thể bao gồm:
a) xây dựng và soát xét các thủ tục cho việc hoạch định, thực hiện, phân tích, báo cáo và tính hiệu lực của chương trình thử nghiệm thành thạo;
b) nhận biết và đánh giá so sánh liên phòng được tổ chức bởi các cơ quan khác;
c) đánh giá kết quả thử nghiệm thành thạo liên quan việc thực hiện của các phòng thí nghiệm tham gia;
d) cung cấp chỉ dẫn cho bất kỳ cơ quan đánh giá năng lực kỹ thuật của phòng thí nghiệm tham gia nào về kết quả đạt được trong suốt chương trình thử nghiệm thành thạo cũng như cách sử dụng kết quả này với các khía cạnh khác của đánh giá phòng thí nghiệm;
e) cung cấp chỉ dẫn cho người tham gia về các vấn đề kinh nghiệm rõ ràng; và
f) giải quyết bất kỳ bất đồng nào giữa điều phối viên và người tham gia.
5.3. Thiết bị xử lý dữ liệu
Bất kỳ thiết bị nào được sử dụng đều cần phải phù hợp để tiến hành nhập tất cả dữ liệu cần thiết cũng như phân tích thống kê và đưa ra các kết quả kịp thời, có giá trị. Các thủ tục kiểm tra dữ liệu đầu vào cần phải được tiến hành, các phần mềm cần phải được kiểm tra xác nhận, hỗ trợ và sao lưu.Cần phải kiểm soát việc lưu trữ và bảo mật các tệp tin dữ liệu.
5.4. Thiết kế thống kê
5.4.1. Mô hình thống kê và các kỹ thuật phân tích dữ liệu sử dụng cần phải được lập thành văn bản cùng với một bản mô tả tóm tắt về cơ sở lựa chọn. Chi tiết hơn về các thủ tục thống kê phổ biến và việc xử lý dữ liệu thử nghiệm thành thạo được nêu trong Phụ lục A.
5.4.2. Thiết kế thống kê phù hợp của chương trình thử nghiệm thành thạo là thiết yếu. Cần xem xét kỹ lưỡng các vấn đề sau và sự tương tác của chúng:
a) độ chụm và độ đúng của các phép thử liên quan;
b) khác biệt nhỏ nhất giữa các phòng thí nghiệm tham gia cần được phát hiện ở mức độ tin cậy yêu cầu;
c) số lượng phòng thí nghiệm tham gia;
d) số lượng mẫu cần thử và số lần lặp lại phép thử hoặc phép đo cần thực hiện trên mỗi mẫu thí nghiệm;
e) quy trình dùng để ước lượng giá trị ấn định;
f) thủ tục sử dụng để xác định giá trị bất thường.
5.4.3. Khi thiếu thông tin tin cậy liên quan đến điểm a), thì trong một số trường hợp cần tổ chứcsánh liên phòng thí điểm (thử nghiệm cộng tác) để đạt được yêu cầu này.
5.5. Chuẩn bị mẫu thử nghiệm
5.5.1. Việc chuẩn bị mẫu thử nghiệm cũng có thể được điều phối viên cho thầu hoặc đảm nhận. Vì tổ chức chuẩn bị mẫu thử nghiệm cần thể hiện năng lực để làm việc này.
5.5.2. Bất kỳ điều kiện nào liên quan đến mẫu thử nghiệm có thể ảnh hưởng đến tính toàn vẹn của so sánh liên phòng, như tính đồng nhất, việc lấy mẫu, độ ổn định, khả năng hư hại dọc đường và những ảnh hưởng của điều kiện xung quanh đều cần được xem xét (xem 5.6).
5.5.3. Mẫu thử nghiệm hoặc vật liệu thử nghiệm được phân phối trong chương trình nói chung giống nhau về bản chất với các loại thông thường được thử nghiệm bởi các phòng thí nghiệm tham gia
CHÚ THÍCH: Ví dụ về thoả thuận cho việc thiết lập sự tương đồng được nêu trong tài liệu NCCLS EP-14P do ban quốc gia về tiêu chuẩn phòng thí nghiệm y tế Villanova, PA, xuất bản năm 1994.
5.5.4. Số mẫu thử nghiệm được phân phối có thể phụ thuộc vào việc có hay không có yêu cầu tổng quát tập hợp các thành phần cấu tạo.
5.5.5. (Các) giá trị ấn định không cần phải công bố cho những người tham gia cho tới sau khi kếtquả được đối chiếu. Tuy nhiên, trong một vài trường hợp có thể chỉ dẫn các phạm vi mục tiêu trước khi thử nghiệm.
5.5.6. Việc chuẩn bị mẫu thử nghiệm bổ sung khác ngoài các mẫu cần thiết cho chương trìnhthử nghiệm thành thạo cần được đưa ra xem xét. Các mẫu thử nghiệm dư có thể hữu ích để làm mẫu chuẩn, mẫu kiểm soát chất lượng hay hỗ trợ đào tạo cho các phòng thí nghiệm sau khi kết quả những người tham gia đã được đánh giá.
5.6. Quản lý mẫu thử nghiệm
5.6.1. Thủ tục lấy mẫu, lấy mẫu ngẫu nhiên, vận chuyển, tiếp nhận, nhận dạng, ghi nhãn lưu kho và xử lý hạng mục thử nghiệm cần được lập thành văn bản.
5.6.2. Trong trường hợp vật liệu khối lượng lớn được chuẩn bị cho thử nghiệm thành thạo chúng cần đồng nhất hoàn toàn đối với từng tham số thử nghiệm để tất cả các phòng thí nghiệm nhận được mẫu thử nghiệm không có khác biệt đáng kể về tham số được đo. Điều phối viên cần lập thành văn bản thủ tục sử dụng để thiết lập tính đồng nhất của mẫu thử nghiệm (xem A.4 trong Phụ lục A). Khi có thể cần tiến hành thử nghiệm tính đồng nhất trước khi gửi mẫu thử nghiệm cho các phòng thí nghiệm tham gia. Mức độ đồng nhất cần đạt đến mức mà sự khác biệt giữa các mẫu thử nghiệm không gây ảnh hưởng đáng kể đến việc đánh giá kết quả của người tham gia.
5.6.3. Khi có thể, điều phối viên cũng cần cung cấp bằng chứng chứng tỏ mẫu thử nghiệm là đủ ổn định để đảm bảo chúng có thể chịu được bất kỳ thay đổi đáng kể nào trong suốt quá trình tiến hành thử nghiệm thành thạo. Khi các đại lượng đo không ổn định cần được đánh giá, tổ chức điều phối có thể cần quy định thời gian hoàn thành thử nghiệm và các thủ tục cần thiết đặc biệt trước thử nghiệm.
5.6.4. Điều phối viên cần xem xét đến bất kỳ mối nguy nào mà mẫu thử nghiệm có thể gây ra và đưa ra chỉ dẫn thích hợp cho các bên có thể bị rủi ro bởi các mối nguy tiềm ẩn (ví dụ người phân phối vật liệu thử nghiệm, phòng thử nghiệm,...).
5.7. Lựa chọn phương pháp/thủ tục
5.7.1. Thông thường các bên tham gia có thể sử dụng phương pháp họ lựa chọn phù hợp với thủ tục thông thường được dùng trong các phòng thí nghiệm. Tuy nhiên, trong các trường hợp nhất định, điều phối viên có thể hướng dẫn người tham gia sử dụng một phương pháp quy định. Phương pháp này thường là phương pháp tiêu chuẩn được thừa nhận ở cấp quốc gia hoặc quốc tế và được xác nhận giá trị sử dụng bằng một thủ tục thích hợp (ví dụ thử nghiệm cộng tác).
5.7.2. Khi sử dụng thủ tục hiệu chuẩn, giá trị ấn định thường là giá trị quy chiếu đạt được từ phép đo do phòng hiệu chuẩn cấp cao thực hiện (thường là Phòng thí nghiệm chuẩn quốc gia) sử dụng các thủ tục được xác định rõ và được chấp nhận. Các phòng thí nghiệm tham gia cần sử dụng cùng thủ tục hoặc sử dụng các thủ tục tương tự nhau nhưng với các phòng hiệu chuẩn thì không phải khi nào cũng đạt được điều này.
5.7.3. Trong trường hợp các bên tham gia được tự do sử dụng phương pháp họ lựa chọn, điều phối viên cần yêu cầu thông tin chi tiết về phương pháp để cho phép so sánh các kết quả của các bên tham gia và góp ý về phương pháp khi thích hợp.
5.8. Sự tiến triển của các chương trình thử nghiệm thành thạo
Nhằm đảm bảo chương trình thử nghiệm thành thạo thích hợp với sự phát triển của khoa học và kỹ thuật cần có các loại mẫu mới, phương pháp hay thủ tục mới. Các kết luận ban đầu từ kết quả thực hiện của các phòng thí nghiệm riêng lẻ của những chương trình này cần được đưa ra một cách thận trọng. (Xem 6.4.3)
6. Triển khai và lập báo cáo
6.1. Việc điếu phối và văn bản hóa
Việc triển khai chương trình thường ngày cần do một điều phối viên chịu trách nhiệm. Tất cả các hoạt động và thủ tục cần được lập thành văn bản. Các tài liệu này có thể bao gồm, hoặc được bổ sung trong sổ tay chất lượng. (Xem Phụ lục B)
6.2. Hướng dẫn
6.2.1. Cần phải cung cấp các hướng dẫn chi tiết cho toàn bộ các khía cạnh của chương trình mà các phòng thí nghiệm tham gia chấp thuận. Ví dụ các hướng dẫn này có thể được cung cấp như là một phần tích hợp của thoả thuận chương trình.
6.2.2. Hướng dẫn có thể bao gồm các chi tiết liên quan đến các yếu tố có thể ảnh hưởng đến việc thí nghiệm các mẫu hay vật liệu thử nghiệm được cung cấp. Các yếu tố này có thể bao gồm: người triển khai, tính chất của mẫu hoặc vật liệu, tình trạng thiết bị, việc lựa chọn quy trình thử và thời gian thí nghiệm.
6.2.3. Hướng dẫn cụ thể về lập hồ sơ và báo cáo kết quả thử nghiệm, hoặc hiệu chuẩn cũng có … được cung cấp (ví dụ đơn vị, một số con số quan trọng, cơ sở báo cáo, thời hạn của kết quả,...).
6.2.4. Người tham gia cần được thông báo để xử lý mẫu thử nghiệm thành thạo như là thực hiện ( phép thử thông thường (trừ khi có các yêu cầu đặc biệt về thiết kế của thử nghiệm thành thạo có yêu cầu lệch với nguyên tắc này).
6.3. Bao gói và vận chuyển
Điều phối viên của chương trình cần xem xét các khía cạnh dưới đây liên quan đến việc phân phối mẫu thử nghiệm hoặc đo. Việc bao gói và phuơng thức vận chuyển phải thích hợp và có thể bảo vệ độcố định và các đặc tính của mẫu thử nghiệm. Có thể có một số hạn chế nhất định trong vận chuyển của các quy định về hàng hoá nguy hiểm hay các yêu cầu hải quan. Trong một số trường hợp, các phòng thí nghiệm cần tự chịu trách nhiệm về việc vận chuyển mẫu, đặc biệt trong các chương trình so sánhđo lường liên tiếp.
Điều phối viên cần hoàn thiện tất cả các mẫu khai báo hải quan phù hợp nhằm đảm bảo giảm thiểu sự chậm trễ trong việc thông quan. Chương trình cần tuân thủ các quy định của quốc gia và quốc tế áp dụng cho việc vận chuyển mẫu thử nghiệm.
6.4. Phân tích dữ liệu và hồ sơ
6.4.1. Kết quả nhận được từ các phòng thí nghiệm tham gia cần được nhập và phân tích sau đó được báo cáo trở lại ngay khi có thể. Điều thiết yếu là phải vận dụng các thủ tục để kiểm tra hiệu lực của dữ liệu nhập, truyền và phân tích thống kê sau đó (xem 5.3). Lưu ý rằng các bảng dữ liệu, các tệp tin sao lưu trong máy tính, dữ liệu in ra, biểu đồ,... phải được lưu trong một khoảng thời gian xác định.
6.4.2. Phân tích dữ liệu cần tạo ra các thước đo tổng hợp, các thống kê đặc trưng và thông tin kèm theo phù hợp với mô hình thống kê và các mục tiêu của chương trình, cần giảm thiểu ảnh hưởng của các kết quả ngoại biên đến thống kê tổng hợp bằng việc áp dụng các phép thử phát hiện giá trị bất thường nhằm xác định và sau đó loại bỏ chúng hoặc tốt nhất là thông qua việc sử dụng kỹ thuật thống kê thô. Phụ lục A nêu các hướng dẫn khái quát cho việc đánh giá thống kê.
6.4.3. Điều phối viên chương trình cần có các tiêu chí bằng văn bản để xử lý các kết quả thử không thích hợp với việc đánh giá thành thạo. Ví dụ, khuyến nghị rằng đối với các đại lượng đo mà vật liệu thử nghiệm chứng tỏ là không đủ đồng nhất và ổn định để thử nghiệm thành thạo thì không cần phân cấp hay cho điểm.
6.5. Báo cáo chương trình
6.5.1. Nội dung của báo cáo chương trình sẽ khác nhau tuỳ thuộc vào mục đích của chương trình cụ thể, nhưng cần rõ ràng, dễ hiểu và bao gồm dữ liệu về việc phân phối kết quả từ tất cả các phòng thí nghiệm đồng thời chỉ ra việc thực hiện của mỗi bên tham gia (xem 6.6).
6.5.2. Thông thường trong báo cáo chương trình thành thạo cần có các thông tin sau đây:
a) tên và địa chỉ của tổ chức tiến hành hoặc điều phối chương trình;
b) tên và các chi nhánh của tổ chức tham gia vào việc thiết kế và thực hiện chương trình (xem 5.2);
c) ngày phát hành báo cáo;
d) số báo cáo và việc nhận dạng rõ ràng chương trình;
e) mô tả rõ mẫu hay vật liệu sử dụng, bao gồm cả chi tiết về việc chuẩn bị mẫu và thử nghiệm tínhđồng nhất;
f) mã tham gia của phòng thí nghiệm và các kết quả thử;
g) dữ liệu thống kê và các bản tóm tắt, bao gồm cả giá trị ấn định cũng như phạm vi các kết quả có thể chấp nhận;
h) thủ tục dùng để thiết lập bất kỳ giá trị ấn định nào;
i) chi tiết của việc liên kết chuẩn và độ không đảm bảo của mọi giá trị ấn định;
j) các giá trị ấn định và các thống kê tổng hợp về các thủ tục/phương pháp thử được sử dụng bởi cácphòng thí nghiệm tham gia khác (nếu các phương pháp khác nhau được sử dụng bởi các phòng thí nghiệm khác nhau);
k) các ý kiến của điều phối viên hay tư vấn kỹ thuật về việc thực hiện của phòng thí nghiệm (xem 6.6)
I) thủ tục được sử dụng trong thiết kế, triển khai chương trình (có thể bao gồm tham chiếu đến thỏa thuận chương trình);
m) thủ tục dùng trong phân tích thống kê dữ liệu (xem Phụ lục A);
n) chỉ dẫn về việc giải thích phân tích thống kê, nếu thích hợp.
6.5.3. Với các chương trình được triển khai thường xuyên, các báo cáo có thể đơn giản hơn tới mức nhiều yếu tố khuyến cáo trong 6.5.2 không cần nêu trong các báo cáo hàng ngày, tuy nhiên vẫncó trong các báo cáo tóm tắt định kỳ và khi có yêu cầu của bên tham gia.
6.5.4. Các báo cáo cần nhanh chóng sẵn có trong khoảng thời gian quy định. Mặc dù việc tất cả các dữ liệu gốc được cung cấp cần được báo cáo cho người tham gia là lý tưởng nhưng trong một số chương trình có phạm vi rất rộng thì có thể không làm được điều này. Các bên tham gia ít nhất cũng nhận được kết quả tóm tắt của tất cả các phòng thí nghiệm (ví dụ dạng biểu đồ). Trong một vài chương trình như chương trình so sánh đo lường kéo dài các báo cáo tạm thời cần được phát hành cho các bên tham gia riêng lẻ.
6.6. Đánh giá việc thực hiện
6.6.1. Trong trường hợp cần đánh giá việc thực hiện, điều phối viên cần chịu trách nhiệm đảm bảo thích hợp của phương pháp đánh giá nhằm duy trì độ tin cậy của chương trình.
6.6.2. Điều phối viên có thể nhờ sự trợ giúp của chuyên gia tư vấn kỹ thuật đưa ra các ý kiến chuyên môn về việc thực hiện liên quan đến:
a) việc thực hiện tổng thể so với các mong đợi trước đó (tính đến độ không đảm bảo);
b) sự khác nhau trong và giữa các phòng thí nghiệm (và so sánh với bất kỳ chương trình nào trước hay dữ liệu chính xác được công bố);
c) sự khác nhau giữa các phương pháp hay thủ tục, nếu có thể;
d) nguyên nhân gây sai số (liên quan đến giá trị ngoại biên) và các gợi ý cải tiến việc thực hiện;
e) các gợi ý, khuyến cáo hay ý kiến chung khác;
f) kết luận.
6.6.3. Có thể cần phải định kỳ cung cấp các bảng tóm tắt riêng lẻ cho các bên tham gia trong suốt hoặc sau một chương trình cụ thể. Chúng có thể bao gồm bản tóm tắt được cập nhật việc thực hiện của các phòng thí nghiệm riêng lẻ ở các chu trình khác nhau của một chương trình liên tục. Những bản tóm tắt này có thể phân tích chi tiết hơn và nêu bật xu hướng nếu cần.
6.6.4. Có nhiều thủ tục khác nhau để đánh giá việc thực hiện của các bên tham gia, cả chương trình thực hiện một lần và sau các chu trình liên tiếp của chương trình liên tục. Một số ví dụ về các thủ tục được đưa ra trong Phụ lục A.
6.6.5. Báo cáo việc thực hiện bằng cách phân cấp các phòng thí nghiệm thành bảng theo việc thực hiện của họ không được khuyến nghị trong thử nghiệm thành thạo. Vì vậy, việc phân cấp chỉ nên sử dụng với sự thận trọng đặc biệt vì nó có thể làm sai lệch và dẫn đến giải thích sai.
6.7. Trao đổi thông tin với các bên tham gia
6.7.1. Các bên tham gia cần được cung cấp tập hợp các thông tin chi tiết về việc tham gia chương trình thử nghiệm thành thạo, như thoả thuận chương trình chính thức. Sau đó, việc trao đổi thông tin với các bên tham gia có thể thông qua thư, bản tin và/hoặc báo cáo, cùng với các cuộc họp mở rộng định kỳ. Các bên tham gia cần được chỉ dẫn ngay về mọi thay đổi liên quan đến thiết kế hay triển khai chương trình.
6.7.2. Bên tham gia cần có khả năng liên hệ với điều phối viên nếu nhận thấy lỗi trong việc đánh giá hoạt động thử nghiệm thành thạo.
6.7.3. Cần khuyến khích việc phản hồi từ các phòng thí nghiệm để các bên tham gia đóng góp tích cực vào sự phát triển của chương trình.
6.7.4. Thủ tục liên quan đến hành động khắc phục của các bên tham gia (đặc biệt liên quan đến phản hồi tới tổ chức công nhận) được nêu trong TCVN 7777-2 : 2008 (ISO/IEC Guide 43-2).
7. Xem xét tính bảo mật và đạo đức nghề nghiệp
7.1. Bảo mật hồ sơ
Thông thường, chính sách của phần lớn các chương trình là duy trì tính bảo mật trong việc nhận dạng các bên tham gia riêng. Việc nhận dạng các bên tham gia chỉ có một số ít người tham gia vào điều phối chương trình biết, và điều này cần mở rộng tới tất cả các hướng dẫn hay các hành động điều chỉnh tiếp sau đó áp dụng đối với phòng thí nghiệm thể hiện năng lực thực hiện yếu kém. Trong một số trường hợp, cơ quan điều phối có thể được yêu cầu báo cáo về việc thực hiện yếu kém cho cơ quan có thẩm quyền cụ thể, nhưng những người tham gia cần được thông báo trước về khả năng này khi đồng ý tham gia chương trình.
Một nhóm các bên tham gia có thể quyết định từ bỏ việc bảo mật trong phạm vi nhóm với mục đích trao đổi và hỗ trợ lẫn nhau để cùng tiến bộ.
7.2. Sự thông đồng và làm sai lệch kết quả
Mặc dù các chương trình thử nghiệm thành thạo trước hết là nhằm giúp các bên tham gia nâng cao năng lực thực hiện của họ, nhưng giữa một số bên tham gia vẫn có chiều hướng tạo ấn tượng lạc quan sai về năng lực của họ. Ví dụ việc thông đồng có thể xảy ra giữa các phòng thí nghiệm để không đưa radữ liệu xác thực độc lập. Các phòng thí nghiệm cũng có thể tạo ấn tượng sai về việc thực hiện khi triển khaicác phân tích độc lập thông thường nhưng báo cáo trung gian việc xác định sao chép về các mẫu thử nghiệm thành thạo hoặc tiến hành sao chép thêm các mẫu quy định cho chương trình cụ thể. Khi có thể, các chương trình thử nghiệm thành thạo cần được thiết kế để đảm bảo rằng khả năng thôngđồng và làm sai lệch kết quả là ít nhất.
Mặc dù điều phối viên cần thực hiện tất cả các biện pháp hợp lý để tránh việc thông đồng, nhưng cũng cần hiểu đúng rằng trách nhiệm của các phòng thí nghiệm tham gia là để tránh xảy ra điều này.
Phụ lục A
(tham khảo)
Các ví dụ về phương pháp thống kê dùng trong xử lý dữ liệu thử nghiệm thành thạo
Các kết quả thử nghiệm thành thạo có thể thể hiện dưới nhiều hình thức, bao trùm một tập hợp lớn các loại dữ liệu và làm cơ sở cho các phân bố thống kê. Kỹ thuật thống kê sử dụng để phân tích kết quả cần phù hợp với từng tính huống và lại quá đa dạng để quy định.
Tuy nhiên, có ba bước phổ biến đối với thử nghiệm thành thạo khi đánh giá kết quả của các bên tham gia:
a) xác định giá trị ấn định;
b) tính toán các thống kê đặc trưng;
c) đánh giá việc thực hiện; và trong một số trường hợp,
d) xác định sơ bộ tính đồng nhất và độ ổn định của mẫu thử nghiệm.
Phụ lục này đưa ra tiêu chí chung đối với các kỹ thuật thống kê có thể sử dụng khi cần hướng dẫn cho các ứng dụng cụ thể.
Với những chương trình so sánh liên phòng mới, thoả thuận ban đầu thường rất sơ sài vì có nhiều vấn đề mới, biểu mẫu mới, mẫu thử nghiệm nhân tạo, thoả thuận vềphương pháp sơsài, hoặc các thủ tụcthử nghiệm đa dạng. Điều phối viên có thể phải sử dụng các biện pháp thô cho việc thực hiện liên quan(như giá trị phần trăm) cho tới khi thoả thuận được cải thiện. Các kỹ thuật thống kê có thể cần được sàng lọc khi thoả thuận liên phòng được cải thiện và thử nghiệm thành thạo được thiết lập phù hợp.
Phụ lục này không xét đến các kỹ thuật thống kê đối với các nghiên cứu phân tích ngoài xử lý dữ liệu thử nghiệm thành thạo. Các kỹ thuật khác nhau cũng có thể cần thiết để thực hiện các mục đích khác của dữ liệu trong so sánh liên phòng được nêu trong lời giới thiệu.
CHÚ THÍCH: Ban kỹ thuật ISO/TC 69 hiện đang soạn thảo tài liệu cung cấp thông tin chi tiết về các phương pháp thống kênêu trong phụ lục này.
A.1 Xác định giá trị ấn định và độ không đảm bảo của các giá trị này
A.1.1 Có nhiều thủ tục để thiết lập giá trị ấn định khác nhau. Các thủ tục phổ biến nhất được nêu dưới đây theo một trật tự mà trong nhiều trường hợp sẽ làm tăng độ không đảm bảo của giá trị ấn định. Các thủ tục này cần sử dụng:
a) Các giá trị cho trước - với kết quả xác định bằng công thức của mẫu thử nghiệm cụ thể (ví dụ sản xuất hoặc điều chế).
b) Giá trị quy chiếu được chứng nhận - như xác định bằng phương pháp cuối cùng (đối với các phép thử định lượng).
c) Giá trị quy chiếu - như xác định bằng phân tích, đo hoặc so sánh mẫu thử nghiệm theo mẫu chuẩn hay chuẩn chính có khả năng liên kết với chuẩn quốc gia hoặc quốc tế.
d) Giá trị đồng thuận từ các phòng thí nghiệm chuyên nghiệp - các phòng thí nghiệm chuyên nghiệp cần có năng lực được thể hiện trong việc xác định (các) đại lượng đo cần thử, sử dụng các phương pháp đã được xác nhận giá trị sử dụng có độ chụm, độ chính xác cao, và có thể so sánh được với những phương pháp thường sử dụng. Trong một số trường hợp, các phòng thí nghiệm có thể là Phòng thí nghiệm quy chiếu.
e) Giá trị đồng thuận từ các phòng thí nghiệm tham gia - sử dụng kỹ thuật thống kê mô tả trong A.1.3 với việc xem xét ảnh hưởng của các giá trị ngoại biên.
A.1.2 Giá trị ấn định cần được xác định để đánh giá công bằng các bên tham gia, thúc đẩy hơn nữa thoả thuận liên phòng và liên phương pháp. Việc này được thực hiện thông qua việc lựa chọn các nhóm so sánh chung, và việc sử dụng giá trịấn định chung khi có thể.
A.1.3 Các thống kê sau đây có thể phù hợp khi giá trị ấn định được xác định bằng phương pháp đồng thuận:
a) giá trị định tính - sự đồng thuận của tỷ lệ phần lớn được xác định trước (thường được thể hiện theo thang đo danh nghĩa hoặc thứ tự);
b) giá trị định lượng - "giá trị trung bình” đối với nhóm so sánh phù hợp như là:
i) giá trị trung bình có thể được lấy trọng số hay chuyển đổi (ví dụ trung bình rút gọn hoặc trung bình nhân),
ii) trung vị, mốt (mode) hoặc phép đo thô khác.
A.1.4 Độ không đảm bảo của giá trị ấn định cần được xác định bằng cách sử dụng các thủ tục môtả trong Hướng dẫn thể hiện độ không đảm bảo đo khi thích hợp.
A.1.5 Các kết quả ngoại biên được xử lý như dưới đây.
a) Khi kết quả của các bên tham gia được dùng để xác định giá trị ấn định, các kỹ thuật cần thích hợp để hạn chế tối đa ảnh hưởng của kết quả ngoại biên. Việc này cần được thực hiện cùng phương pháp thống kê thô hoặc bằng cách loại bỏ các giá trị bất thường trước khi tính toán (xem ISO 5725-2). Trong các chương trình lớn hơn hoặc chương trình thông thường, có thể có bảng hiển thị giá trị bất thường tự động.
b) Nếu các kết quả được loại bỏ như các giá trị bất thường, thì chỉ nên loại bỏ cho việc tính toán thống kê tổng hợp. Các kết quả này vẫn cần được đánh giá trong chương trình thành thạo và phải được đưa ra phân loại thực hiện thích hợp.
A.1.6 Các xem xét khác được tiến hành như dưới đây:
a) Lý tưởng là xác định giá trị ấn định bằng cách quy chiếu hoặc sự đồng thuận của các bên tham gia, điều phối viên cần có thủ tục xác định độ đúng của giá trị ấn định và xem xét việc phân bố dữ liệu.
b) Điều phối viên cần có tiêu chí chấp nhận giá trị ấn định theo độ không đảm bảo của nó.
A.2 Tính toán thống kê đặc trưng
A.2.1 Thực hiện trên mẫu thử nghiệm đơn lẻ
A.2.1.1 Kết quả thử nghiệm thành thạo thường cần phải chuyển đổi sang một thống kê đặc trưng để hỗ trợ việc giải thích và cho phép so sánh với mục tiêu xác định. Mục đích là đo độ lệch so với giá trị ấn định theo cách cho phép so sánh với tiêu chí đặc trưng. Các kỹ thuật có thể từ không yêu cầu xử lý đến các chuyển đổi thống kê phức tạp.
A.2.1.2 Các biện pháp thực hiện cần có ý nghĩa đối với các bên tham gia chương trình. Vì vậy, cácthước đo cần liên quan đến nhu cầu ứng dụng của phép thử và được thấu hiểu hoặc có tính truyềnthống trong một lĩhh vực cụ thể.
A.2.1.3 Các thước đo sự thay đổi thường được sử dụng để tính toán thống kê đặc trưng và trong báo cáo tóm tắt chương trình thử nghiệm thành thạo. Ví dụ phổ biến về các thước đo sự thay đổi đối với nhóm so sánh thích hợp bao gồm:
a) độ lệch chuẩn (SD);
b) hệ số biến thiên (CV) hoặc độ lệch chuẩn tương đối (RSD);
c) các phân vị, độ lệch tuyệt đối của trung vị hoặc các thước đo thô khác.
A.2.1.4 Đối với các kết quả định tính, việc tính toán thường không cần thiết.
Các thống kê thường được sử dụng cho những kết quả định lượng được liệt kê dưới đây theo mức độ biến đổi kết quả tăng dần của các bên tham gia.
a) Hiệu số (x-X), trong đó "x" là kết quả của bên tham gia và "X" là giá trị ấn định.
b) Chênh lệch theo phần trăm,
c) Phân vị hoặc dãy
d) Tỉ số z, trong đó
z =
và s là biến ước lượng/thước đo thích hợp của sự thay đổi được chọn phù hợp với các yêu cầu của chương trình. Công thức này có thể được sử dụng trong các trường hợp khi X và s có được từ kết quả của các bên tham gia hay khi X và s không có được từ (tất cả) các kết quả của bên tham gia. [Ví dụ khi giá trị ấn định và sự thay đổi được quy định; tham khảo 4.2 của Thoả thuận hài hoà quốc tế về thử nghiệm thành thạo của Phòng thí nghiệm phân tích (hoá học)]
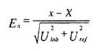
e) Số En (thường sử dụng đặc thù trong chương trình so sánh đo lường), trong đó

và Ulab là độ không đảm bảo của kết quả của bên tham gia và Uref là độ không đảm bảo của giá trị ấn định của phòng thí nghiệm quy chiếu.
A.2.1.5 Các xem xét như nêu dưới đây.
a) Sự khác biệt không đáng kể giữa kết quả của bên tham gia và giá trị ấn định có thể thích hợp để xác định đặc trưng và được người tham gia hiểu một cách dễ dàng nhất. Trị số (x-X) trong TCVN 6910-4 : 2001 (ISO 5725-4) được gọi là “ ước lượng độ chệch phòng thí nghiệm".
b) Các điều chỉnh phần trăm chênh lệch đối với nồng độ và được các bên tham gia thấu hiểu.
c) Các phân vị hoặc dãy là hữu ích với các kết quả phân tán cao hoặc kết quả lệch, các đáp ứng theo thứ tự hoặc khi có một số giới hạn các đáp ứng khác nhau. Kỹ thuật này cần được sử dụng thận trọng (xem 6.6.5).
d) Kết quả chuyển đổi có thể được ưu tiên, hoặc cần thiết, tuỳ thuộc vào bản chất của phép thử. Ví dụ các kết quả dựa trên sự pha loãng là một dạng của thang hình học, có thể chuyển đổi theo logarit.
e) Nếu sử dụng tiêu chí thống kê (ví dụ tỉ số z), ước lượng của sự thay đổi phải đáng tin cậy; đó là trên cơ sở các quan trắc đầy đủ nhằm làm giảm ảnh hưởng của các giá trị ngoại biên và đạt được độ không đảm bảo thấp.
A.2.2 Tỉ số đặc trưng phối hợp
A.2.2.1 Đặc trưng có thể được đánh giá trên cơ sở nhiều hơn một kết quả trong một chu trình thử nghiệm thành thạo đơn lẻ. Điều này xảy ra khi có nhiều hơn một mẫu thử nghiệm cho một đại lượng đo cụ thể, hoặc một họ đại lượng đo liên quan. Việc này được thực hiện để đưa ra đánh giá đặc trưng toàn diện hơn.
Các phương pháp đồ thị như Biểu đồ Youden hay đồ thị biểu diễn thống kê h của Mandel là các kỹ thuật hiệu quả để diễn tả đặc trưng (xem TCVN 6910-2:2001 (ISO 5725-2)).
Các ví dụ được nêu dưới đây:
a) Tỉ số kết hợp đối với cùng một đại lượng đo:
- số lượng kết quả thoả mãn;
- tỉ số z trung bình hoặc tổng cộng;
- hiệu số tuyệt đối trung bình (theo đơn vị hoặc phần trăm);
- hiệu số tuyệt đối tổng (hay hiệu bình phương);
b) Tỉ số kết hợp đối với các đại lượng đo khác nhau:
- số lượng (hoặc phần trăm) kết quả thoả mãn;
- tỉ số z trung bình tuyệt đối;
- hiệu tuyệt đối trung bình so với giới hạn đánh giá.
A.2.2.2 Các xem xét như nêu dưới đây:
a) Tỉ số có thể được chuyển đổi (nếu cần) để tất cả cùng theo một phân bố giả định (ví dụ phân bố Gau-xơ cho tỉ số z hay X2 cho hiệu bình phương).
b) Cần kiểm tra giá trị ngoại biên có thể có ảnh hưởng lớn tới tỉ số kết hợp định lượng.
A.3 Đánh giá việc thực hiện
A.3.1 Thực hiện ban đầu
Tiêu chí đánh giá việc thực hiện cần được thiết lập sau khi xem xét các thước đo hoạt động có liên quan đến các đặc trưng nhất định hay không.
A.3.1.1 Các đặc trưng này như sau:
a) Sự đồng thuận chuyên môn: khi nhóm tư vấn hoặc các chuyên gia lành nghề khác quyết định trực tiếp việc kết quả báo cáo có phù hợp với mục đích hay không. Sự đồng thuận chuyên môn là cách thức điển hình để đánh giá kết quả của các phép thử định tính.
b) Tính phù hợp với mục đích: ví dụ, xem xét các quy định về thực hiện phương pháp và trình độ điều hành được công nhận của các bên tham gia.
c) Xác định tỉ số bằng thống kê: trong đó các tiêu chí cần phù hợp với từng tỉ số. Ví dụ phổ biến về ứng dụng tỉ số là:
i) với tỉ số z:
|z|< 2 = thoả mãn
2<|z|<3 = nghi vấn
|z| ≥ 3 = không thoả mãn
ii) với sốEn:
| Enl ≤ 1 = thoả mãn
| En l > 1 = không thoả mãn
d) Sự đồng thuận của các bên tham gia: phạm vi các tỉ số hay kết quả được sử dụng bởi một tỉ lệphần trăm các bên tham gia, hay từ một nhóm quy chiếu, như;
- tỉ lệ phần trăm trung tâm thoả mãn (80 %, 90 % hay 95 %), hoặc
- tỉ lệ phần trăm một phía thoả mãn (ít nhất 90%).
A.3.1.2 Đối với thiết kế mẫu tách, mục tiêu có thể là để nhận biết việc hiệu chuẩn không đầy đủ và/hoặc sự biến động ngẫu nhiên lớn trong kết quả. Trong trường hợp này việc đánh giá cần dựa trên số lượng kết quả phù hợp và bao trùm phạm vi tập trung rộng. Kỹ thuật đồ thị rất có ích cho việc nhận biết và mô tả các vấn đề này, đặc biệt, các biểu đồ thể hiện sự khác biệt giữa các phòng thí nghiệm được vẽ theo giá trị trung bình tương ứng. Các kết quả có thể được so sánh bằng phân tích hồi quy và phân tích số dư với kỹ thuật tham số hoặc phi tham số thích hợp.
A.3.1.3 Đồ thị cần được sử dụng khi có thể để biểu diễn việc thực hiện (ví dụ biểu đồ cột, biểu đồ lỗi, biểu đồ thứ tự tỉ số z). Các biểu đồ này có thể dùng để thể hiện:
a) phân bố các giá trị tham gia;
b) mối quan hệ giữa các kết quả trên mẫu thử bội; và
c) phân bố so sánh cho các phương pháp khác nhau.
A.3.2 Giám sát việc thực hiện theo thời gian
A.3.2.1 Chương trình thử nghiệm thành thạo có thể bao gồm kỹ thuật giám sát việc thực hiện theo thời gian. Kỹ thuật thống kê cần cho phép các bên tham gia thấy được sự biến đổi trong việc thực hiện của họ; có hay không những xu hướng hay sự không nhất quán chung, và khi nào việc thực hiện biến đổi một cách ngẫu nhiên.
A.3.2.2 Phương pháp đồ thị cần được sử dụng để tạo thuận lợi cho việc thông hiểu của nhiều người đọc khác nhau. Biểu đồ kiểm soát “Shewhart" truyền thống rất hữu ích, đặc biệt cho mục đích tự cải tiến. Liệt kê dữ liệu và các thống kê sơ bộ cho phép xem xét chi tiết hơn. Các thống kê dùng để đánh giá việc thực hiện cần sử dụng các đồ thị và bảng biểu này.
A.4 Xác định sơ bộ tính đồng nhất của mẫu thử nghiệm
Cần sử dụng kỹ thuật thống kê phù hợp để đánh giá dữ liệu từ việc thử nghiệm tính đồng nhất của mẫu thử. Một cách tiếp cận thích hợp được mô tả trong Thoả thuận hài hoà quốc tế về thử nghiệm thành thạo của các Phòng thí nghiệm phân tích (hoá học). Xem Phụ lục II: Thủ tục khuyến nghị về vật liệu thử nghiệm có tính đồng nhất thích hợp.
Phụ lục B
(tham khảo)
Quản lý chất lượng chương trình thử nghiệm thành thạo
Khuyến nghị nên thiết lập và duy trì một hệthống chất lượng. Hệ thống này cần được lập thành vănbản, ví dụ mô tả trong sổ tay chất lượng. Nó cần phác thảo các chính sách và thủ tục đảm bảo chấtlượng của các chương trình thử nghiệm thành thạo, mang lại sự tin cậy của cả các bên tham gia và người sử dụng dữ liệu.Tổ chức tiến hành chương trình nên đáp ứng các yêu cầu của hệ thống quản lý chất lượng và năng lực kỹ thuật dựa vào các phần thích hợp của bộ tiêu chuẩn TCVN ISO 9000 và TCVN ISO/IEC 17025 chứng tỏ bằng việc chứng nhận và/hoặc công nhận của một tổ chức được thừa nhận.
Hệ thống tài liệu chất lượng này cần bao gồm các nội dung dưới đây:
a) Chính sách chất lượng
b) Tổ chức của cơ quan điều phối
c) Đào tạo và năng lực nhân viên
d) Vai trò và trách nhiệm của nhân viên
e) Kiểm soát tài liệu
f) Thủ tục đánh giá và xem xét
g) Mục đích, phạm vi, thiết kế thống kê và định dạng chương trình thử nghiệm thành thạo
h) Thủ tục thực hiện
- chuẩn bị mẫu
- thử nghiệm tính đồng nhất của mẫu
- thiết bị
- thủ tục thiết lập giá trị ấn định
- người cung ứng, bao gồm cả nhà thầu phụ
- hậu cần
- phân tích dữ liệu
i) Soạn thảo và phát hành các báo cáo
j) Hành động và phản hồi của các bên tham gia
k) Hệ thống tài liệu và lưu trữ hồ sơ
k) Thủ tục xử lý khiếu nại
m) Chính sách về tính bảo mật và thủ tục quy định về đạo đức
n) Thông tin sử dụng máy tính
o) An toàn và các yếu tố môi trường khác
p) Nhà thầu phụ
q) Phí tham gia
r) Phạm vi hiệu lực của chương trình
s) Chính sách chung về sự tham gia và việc sử dụng kết quả của chương trình
Phụ lục C
(tham khảo)
Thư mục tài liệu tham khảo
[1] WECC Doc. 15-1992, WECC Interlaboratory Comparisons. Western European Calibration Cooperation (now EAL) ( So sánh liên phòng thí nghiệm)
[2] EAL-G6-1993, WELAC Criteria for Proficiency Testing in Accreditation. European Cooperation for Accreditation of Laboratories (EAL) (Tiêu chuẩn thử nghiệm thành thạo trong Công nhận).
[3] APLAC, Interlaboratory Comparisons (So sánh liên phòng)
Doc. 1 - Calibration & Measurement Proficiency Programs (Chương trình hiệu chuẩn và đo lường thành thạo)
Doc. 2 - Testing Programs (Chương trình thử nghiệm)
Asia-Pacific Laboratory Accreditation Cooperation, 1996.
[4] ASTM E 1301-1995, StandardGuide for the Development and Operation of Laboratory Proficiency TestingPrograms (Hướng dẫn tiêu chuẩn cho việc xây dựng và triển khai chương trình thử nghiệm thành thạo phòng thí nghiệm).
[5] ISO Guide 30: 1992, Terms and definitions used in connection with reference materials (Thuật ngữ và định nghĩa dùng cùng với mẫu chuẩn).
[6] HORWITZ W., Nomenclature of interlaboratory analytical studies. PureAppl. Chem., 66(9), 1994, pp. 1903- 1911 (Thuật ngữ trong nghiên cứu phân tích liên phòng thí nghiệm).
[7] SWEETS J. A. and PICKET R. M., Evaluation of Diagnostic Systems - Methods from Signal Detection Theory. Academic Press, New York, London, 1982 (Đánh giá hệ thống chẩn đoán - Các phương pháp từ lý thuyết tách tín hiệu).
[8] YOUDEN W. J., Statistical Techniques for Collaborative Tests. Association of Official Analytical Chemists, Arlington, VA, 1967 (Kỹ thuật thống kê cho thử nghiệm liên kết).
[9] MANDEL J., Analysis of Two - Way Layouts. Chapman & Hall, New York, NY, 1996, pp. 65-79 (Phân tích hiển thị hai chiều).
[10] THOLEN D. w., A Statistical Procedure for Measuring and Evaluating Performance in Interlaboratory Comparison Programs. Arch. Pathol. Lab. Med., 112, 1988, pp. 462-470 (Thủ tục thống kê đối với đo lường và đánh giá việc thực hiện trong chương trình so sánh liên phòng).
[11] KAFADAR K., A Biweight Approach to the One - Sample Problem. Amer. Statistical Assoc., 77(378), 1982, pp. 416-424 (Phương pháp Biweight đối với vấn đề mẫu thử nghiệm một lần).
[12] Royal Society of Chemistry, Robust Statistics -How not to Reject Outliers, Part 1, Basic Concepts, and Part 2, Interlaboratory Trials. (Analytical Methods Committee, Royal Society of Chemistry). Analyst, 114, 1989 pp. 1693-1702 (Thống kê thô - Cách loại bỏ các giá trị bất thường, Phần 1: Khái niệm cơ bản :Phần 2: Thử nghiệm liên phòng).
[13] THOLEN D. W., Reference Values and Participant Means as Targets in Proficiency Testing. Arch. Pathol. Lab. Med., 117, 1993, pp. 885-889 (Giá trị quy chiếu và phương thức tham gia với các mục tiêu thử nghiệm thành thạo).
[14] ROSS J. W., Evolution of Evaluation Criteria in the College of American Pathologists Surveys Arch. Pathol. Lab. Med., 112, 1988, pp. 334-339 (Phát triển tiêu chuẩn đánh giá trong điều tra của trường Đại học bệnh học Mỹ).
[15] HOELTGE G. A. and DUCKWORTH J. K., Review of Proficiency Testing Performance of Laboratories Accredited by the College of American Pathologists. Arch. Pathol. Lab. Med., 111, 1987, pp. 101 1-1014 (Xem xét việc tiến hành thử nghiệm thành thạo của Phòng thí nghiệm được công nhận bởi Trường ĐH bệnh học Mỹ).
[16] JENNY R. W. and JACKSON K. Y., Proficiency Test Performance as a Predictor of Accuracy of Routine Patient Testing for Theophylline. Clin. Chem., 39(1), 1993, pp. 76-81.
MỤC LỤC
Lời nói đầu
Lời giới thiệu
1. Phạm vi áp dụng
2. Tài liệu viện dẫn
3. Thuật ngữ và định nghĩa
4. Các dạng thử nghiệm thành thạo
4.1. Khái quát
4.2. Chương trình so sánh đo lường
4.3. Chương trình thử nghiệm liên phòng
4.4. Chương trình thử nghiệm với mẫu tách
4.5. Chương trình thử nghiệm định tính
4.6. Chương trình cho trước giá trị
4.7. Chương trình thực hiện từng phần quá trình
5. Tổ chức và thiết kế
5.1. Phạm vi
5.2. Nhân viên
5.3. Thiết bị xử lý dữ liệu
5.4. Thiết kế thống kê
5.5. Chuẩn bị mẫu thử nghiệm
5.6. Quản lý mẫu thử nghiệm
5.7. Lựa chọn phương pháp/thủ tục
5.8. Cải tiến chương trình thử nghiệm thành thạo
6. Triển khai và lập báo cáo
6.1. Điều phối và hệ thống văn bản
6.2. Chỉ dẫn
6.3. Bao gói và vận chuyển
6.4. Phân tích dữ liệu và hồ sơ
6.5. Báo cáo chương trình
6.6. Đánh giá việc thực hiện
6.7. Trao đổi thông tin với các bên tham gia
7. Xem xét tính bảo mật/đạo đức nghề nghiệp
7.1. Bảo mật hồ sơ
7.2. Sự thông đồng và làm sai lệch kết quả
Phụ lục A (tham khảo) Các ví dụ về phương pháp thiết kế dùng trong xử lý dữ liệu thử nghiệm thành thạo
Phụ lục B (tham khảo) Quản lý chất lượng chương trình thử nghiệm thành thạo
Phụ lục C Thư mục tài liệu tham khảo