TIÊU CHUẨN XÂY DỰNG VIỆT NAM
TCXDVN 260: 2002
TRƯỜNG MẦM NON - TIÊU CHUẨN THIẾT KẾ
Kindergarten - Design standard
1. Phạm vi áp dụng
Tiêu chuẩn này áp dụng để thiết kế xây dựng mới hoặc cải tạo các trường mầm non, bao gồm: nhà trẻ, trường mẫu giáo và trường mầm non nhằm đạt được các yêu cầu cơ bản về an toàn, vệ sinh và công năng sử dụng.
Chú thích: Khi thiết kế các công trình nuôi dạy trẻ có yêu cầu sử dụng đặc biệt (nuôi dạy trẻ có tật bẩm sinh, nuôi dạy trẻ kết hợp phục hồi chức năng...) cần bổ sung các phòng phục hồi chức năng cho trẻ.
2. Tiêu chuẩn trích dẫn
Quy chuẩn xây dựng Việt Nam
TCVN 2748: 1991. Phân cấp công trình xây dựng. Nguyên tắc chung.
TCVN 4319: 1986. Nhà và công trình công cộng. Nguyên tắc cơ bản để thiết kế.
TCXD 13: 1991. Phân cấp nhà và công trình dân dụng. Nguyên tắc chung.
TCVN 4513: 1988. Cấp nước bên trong. Tiêu chuẩn thiết kế.
TCVN 4474: 1987. Thoát nước bên trong. Tiêu chuẩn thiết kế.
TCXD 16: 1986. Chiếu sáng nhân tạo trong công trình dân dụng.
TCXD 29: 1991. Chiếu sáng tự nhiên trong công trình dân dụng. Tiêu chuẩn thiết kế.
TCVN 2622: 1995. Phòng cháy, chống cháy cho nhà và công trình - Yêu cầu thiết kế.
3. Quy định chung
3.1. Trường mầm non tiếp nhận, chăm sóc và giáo dục trẻ ở hai lứa tuổi:
- Từ 3 tháng đến 36 tháng (tuổi nhà trẻ);
- Từ 37 tháng đến 72 tháng (tuổi mẫu giáo).
3.2. Quy mô trường mầm non xác định theo số nhóm - lớp và được chia ra như sau:
Loại lớn: Từ 10 nhóm - lớp đến 15 nhóm - lớp.
Loại vừa: Từ 6 nhóm - lớp đến 9 nhóm - lớp.
Loại nhỏ: Từ 5 nhóm - lớp trở xuống.
Chú thích: Trong trường mầm non phải có từ 3 nhóm - lớp trở lên.
3.3. Số lượng trẻ được phân chia thành nhóm - lớp theo độ tuổi và là đơn vị để thiết kế và tính toán được nêu trong phụ lục A.
Đối với trẻ từ 3 tháng đến 36 tháng tuổi được tổ chức thành các nhóm trẻ. Số lượng trẻ tối đa trong một nhóm được quy định như sau:
- Từ 3 tháng đến 6 tháng: 15 cháu;
- Từ 7 tháng đến 12 tháng: 18 cháu;
- Từ 13 tháng đến 18 tháng: 20 cháu;
- Từ 19 tháng đến 24 tháng: 22 cháu;
- Từ 25 tháng đến 36 tháng: 25 cháu.
Đối với trẻ từ 37 tháng (3 tuổi) đến 72 tháng (6 tuổi) được tổ chức thành các lớp mẫu giáo. Số trẻ tối đa trong một lớp được quy định như sau:
- Từ 3 tuổi đến 4 tuổi: 25 cháu;
- Từ 4 tuổi đến 5 tuổi: 30 cháu;
- Từ 5 tuổi đến 6 tuổi: 35 cháu
3.4. Khi thiết kế trường mầm non, ngoài việc tuân theo tiêu chuẩn này còn cần tuân theo “TCVN 4319: 1986. Nhà và công trình công cộng - Nguyên tắc cơ bản để thiết kế” và các tiêu chuẩn hiện hành có liên quan.
3.5. Trường mầm non được thiết kế với cấp công trình từ cấp II đến cấp IV. Nội dung cụ thể của từng cấp công trình áp dụng theo tiêu chuẩn TCVN 2748: 1991 “Phân cấp công trình xây dựng. Nguyên tắc chung”. Ưu tiên cấp công trình cao cho khối nhóm - lớp.
Chú thích: Công trình cấp IV chỉ nên thiết kế xây dựng ở khu vực chưa có quy hoạch ổn định hoặc đối với một số công trình phụ trợ của trường.
4. Yêu cầu về khu đất xây dựng và tổ chức quy hoạch tổng mặt bằng
4.1. Lựa chọn khu đất xây dựng trường mầm non đáp ứng các yêu cầu dưới đây:
a) Phù hợp với cơ cấu tổ chức quy hoạch của điểm dân cư và khả năng phát triển của trường trong tương lai;
b) Cao ráo, thoáng mát, thoát nước tốt, ít tốn kém về các biện pháp xử lí nền móng;
c) Thuận tiện cho việc cấp điện, nước, thông tin liên lạc từ các mạng lưới cung cấp chung của thành phố và các điểm dân cư;
d) Cách xa các nguồn ô nhiễm, các xí nghiệp gây nhiều độc hại, các công trình có nguy cơ gây cháy, nổ, bệnh viện, chợ, nhà ga... đáp ứng các khoảng cách li như quy định trong tiêu chuẩn quy hoạch đô thị hiện hành.
e) Thuận tiện cho việc đưa đón trẻ, tránh đặt cạnh tuyến đường có mật độ giao thông lớn. Trường hợp phải bố trí cạnh các tuyến đường này thì khoảng cách từ mép đường đến mặt ngoài tường các phòng sinh hoạt, phòng ngủ và lớp học phải đảm bảo không nhỏ hơn 12m;
g) Bán kính phục vụ:
- Từ 500m đến 800m đối với miền đồng bằng;
- Từ 800m đến 1000m đối với trung du và miền núi;
h) Tạo điều kiện cần thiết cho việc bố trí phân khu chức năng kiến trúc, lối ra vào, sân vui chơi ngoài trời.
4.2. Hướng cho phép mở cửa sổ các phòng sinh hoạt (phòng chơi, phòng ngủ) trong công trình được xác định tùy thuộc vùng khí hậu xây dựng của từng miền (tham khảo phụ lục B, hình 1).
4.3. Bố trí các khối công trình trong trường mầm non phải chú ý:
- Tránh tạo thành gió lùa.
- Có biện pháp tránh mưa hắt, tránh bức xạ mặt trời trực tiếp hướng Tây cho các phòng học, phòng ngủ, phòng sinh hoạt.
4.4. Hướng của các phòng sinh hoạt của trẻ (phòng chơi, phòng ngủ, hiên chơi) trực tiếp đón gió mát về mùa hè, tránh hoặc hạn chế gió lạnh về mùa đông. Sân chơi có nắng đầy đủ, tạo được môi trường không gian phù hợp đặc điểm tâm, sinh lí trẻ.
4.5. Bố trí mặt bằng cần phân khu chức năng rõ ràng, tránh cản trở lẫn nhau, đáp ứng nhu cầu sử dụng và quản lí, đảm bảo giao thông đi lại an toàn và hợp lí.
4.6. Không được phép bố trí các phòng dùng cho sinh hoạt của trẻ ở tầng ngầm và tầng nửa ngầm.
4.7. Diện tích khu đất xây dựng được quy định trong bảng 1.
Bảng 1: Diện tích khu đất xây dựng trường mầm non
|
Loại công trình |
Diện tích đất cho 1 trẻ lấy theo quy mô công trình (m2) |
||
|
Từ 10 đến 15 nhóm - lớp |
Từ 6 đến 9 nhóm - lớp |
Từ 5 nhóm - lớp trở xuống |
|
|
Nhà trẻ |
20 - 25 |
20 - 25 |
25 - 30 |
|
Trường mẫu giáo |
20 - 25 |
25 - 30 |
30 - 35 |
Chú thích: Diện tích khu đất xây dựng không được nhỏ hơn 250m2.
Diện tích khu đất xây dựng trường mầm non bao gồm:
a) Diện tích xây dựng công trình;
b) Diện tích sân chơi;
c) Diện tích cây xanh, đường đi.
4.8. Khối nhóm - lớp trong trường mầm non cần được bố trí ở vị trí ưu tiên trong mặt bằng tổng thể của trường. Diện tích xây dựng không được vượt quá 40% diện tích khu đất.
4.9. Trong trường phải thiết kế sân chơi chung và sân chơi riêng cho các nhóm - lớp. Diện tích sân chơi của mỗi lớp được tính theo quy định ở điều 5.24, và 5.25 của tiêu chuẩn này.
4.10. Xung quanh khu đất xây dựng phải có dải đất trồng cây kết hợp làm hàng rào bảo vệ và chắn bụi, gió, chống tiếng ồn. Cần bố trí chỗ chứa rác và có lối ra vào riêng. Ranh giới khối nhóm - lớp, sân chơi, cây xanh cần an toàn và đảm bảo mỹ quan.
5. Nội dung công trình và yêu cầu về giải pháp thiết kế
5.1. Trường mầm non bao gồm các khối chức năng công trình chủ yếu sau:
- Khối nhóm - lớp;
- Khối phục vụ (bộ phận hành chính, phục vụ và phụ trợ);
- Sân vườn.
5.2. Thiết kế trường mầm non phải đảm bảo những yêu cầu sau:
- Độc lập giữa các nhóm - lớp;
- Cách li giữa các nhóm - lớp với khối phục vụ;
- An toàn và bảo đảm yêu cầu về nuôi dạy cho từng lứa tuổi.
Chú thích: Nguyên lí bố cục mặt bằng chung và sơ đồ dây chuyền hoạt động trong trường mầm non xem phụ lục C - hình 3,4.
5.3. Chiều cao thông thủy của các phòng trong trường mầm non không được nhỏ hơn qui định trong bảng 2.
Bảng 2: Chiều cao thông thủy của các phòng
|
Tên phòng |
Chiều cao thông thủy (m) |
|
1. Phòng chơi, phòng học, phòng ngủ, phòng sinh hoạt chung, kho và bếp Phòng thuộc khối phục vụ, phòng nhận trẻ, phòng vệ sinh, rửa, ngồi bô, chỗ chia cơm, pha sữa, trẻ mệt |
từ 3,3 đến 3,6 |
|
2. Phòng hoạt động âm nhạc và giáo dục thể chất |
3,9 |
|
3. Hành lang, hiên chơi, nhà cầu |
tù 2,4 đến 2,7 |
Chú thích: Trường hợp đặc biệt cho phép chiều cao thông thủy của các phòng thuộc khối phục vụ cao từ 2,4m đến 2,7m.
5.4. Trường mầm non không nên thiết kế trên 2 tầng. Trường hợp phải thiết kế trên 2 tầng cần bảo đảm an toàn và thuận tiện cho sinh hoạt của trẻ cũng như yêu cầu đưa đón trẻ hàng ngày và thoát nạn khi có sự cố. Trong trường hợp này phương án thiết kế phải được cấp có thẩm quyền cho phép.
5.5. Hình dáng kiến trúc và thiết kế nội thất trong trường mầm non cần phù hợp đặc điểm phát triển tâm sinh lí của trẻ.
KHỐI NHÓM - LỚP
5.6. Các phòng trong khối nhóm - lớp bao gồm: phòng sinh hoạt, phòng ngủ, phòng đón, phòng vệ sinh (xí, rửa, tắm, tiểu, ngồi bô), chỗ để mũ áo, phòng hoạt động âm nhạc rèn luyện thể chất v.v... Phòng sinh hoạt và phòng ngủ của trẻ trong trường mầm non bán trú có thể đặt ghép làm một.
Chú thích: Trường hợp có nhu cầu tiếp nhận trẻ dưới 18 tháng tuổi thì cần bố trí thêm chỗ pha sữa, chỗ cho bú.
5.7. Nội dung và diện tích của các phòng trong khối nhóm - lớp được quy định trong bảng 3.
Bảng 3: Diện tích các phòng trong khối nhóm - lớp
|
Loại phòng |
Quy mô (m2/lớp) |
Ghi chú |
||
|
Từ 10 đến 15 nhóm - lớp |
Từ 6 đến 9 nhóm - lớp |
Từ 5 nhóm - lớp trở xuống |
||
|
Phòng sinh hoạt: |
|
|
|
|
|
- Đối với lớp mẫu giáo |
48 - 54 |
48 - 54 |
48 - 54 |
Là nơi để cho trẻ học, chơi và ăn |
|
- Đối với nhà trẻ |
24 - 36 |
24 - 36 |
24 - 36 |
Là nơi để cho trẻ chơi và ăn |
|
Phòng ngủ: |
|
|
|
|
|
- Đối với lớp mẫu giáo |
48 - 54 |
48 - 54 |
48 - 54 |
Nên kết hợp với phòng sinh hoạt |
|
- Đối với nhà trẻ |
24 - 36 |
24 - 36 |
24 - 36 |
|
|
Nhận trẻ |
12 - 16 |
12 - 16 |
12 - 16 |
Đối với lứa tuổi nhà trẻ |
|
Chỗ để mũ áo |
10 - 12 |
10 - 12 |
10 - 12 |
|
|
Chỗ trẻ mệt |
4,5 - 6 |
4,5 - 6 |
4,5 - 6 |
Nên bố trí trong phòng sinh hoạt |
|
Chỗ pha sữa, chia cơm |
6 - 8 |
6 - 8 |
6 - 8 |
|
|
Phòng vệ sinh |
16 - 24 |
16 - 24 |
16 - 24 |
|
|
Hiên chơi |
18 - 24 |
18 - 24 |
18 - 24 |
|
|
Phòng hoạt động âm nhạc và rèn luyện thể chất |
54 - 72 |
54 - 72 |
54 - 60 |
Diện tích dùng chung toàn trường |
|
Kho để tài sản của nhóm lớp, chỗ xếp giường |
6 - 9 |
6 - 9 |
6 - 9 |
|
Chú thích:
1. Khi thiết kế phòng ngủ kết hợp với phòng sinh hoạt thì diện tích phòng được tính theo 80% diện tích của 2 phòng gộp lại. Cần bố trí chỗ xếp giường trực tiếp với phòng học để đến giờ ngủ trưa có thể chuyển giường ra cho trẻ ngủ.
2. Chỗ đi tiểu và vệ sinh của trẻ ở lớp mẫu giáo phải ngăn cách riêng cho cháu trai và cháu gái. Phòng vệ sinh cần gần cạnh phòng học, phòng ngủ, được thông gió và lấy ánh sáng tự nhiên.
3. Trường mầm non chỉ có quy mô 3 nhóm - lớp được thiết kế một phòng nhận trẻ chung có diện tích từ 16m2 đến 18m2, nhưng vẫn phải bảo đảm có cửa ra vào riêng. Với quy mô này, không nên thiết kế phòng sinh hoạt chung của trường mà chỉ mở rộng một phòng sinh hoạt của lớp để sử dụng khi cần thiết. Diện tích mở rộng tính từ 0,10m2 đến 0,15m2 cho một trẻ.
4. Đối với trường mầm non trọng điểm có thể bổ sung thêm một số phòng dùng cho chuyên môn và thiết bị. Diện tích sử dụng được lấy theo nhiệm vụ thiết kế riêng được duyệt.
5.8. Phòng sinh hoạt của nhóm trẻ - lớp mẫu giáo cần:
- Liên hệ trực tiếp với phòng nhận trẻ, phòng vệ sinh, hiên chơi, chỗ trẻ mệt và chỗ … giường (lớp mẫu giáo).
- Liên hệ thuận tiện với phòng ngủ, chỗ chia cơm, pha sữa.
5.9. Các phòng sinh hoạt, phòng ngủ, phòng vệ sinh, chỗ để mũ áo của nhóm trẻ và lớp mẫu giáo cần thiết kế thành đơn nguyên sinh hoạt sử dụng độc lập, có lối ra vào riêng.
5.10. Chỗ trẻ mệt cần bố trí gần phòng sinh hoạt của nhóm - lớp. Yêu cầu ngăn cách nhẹ nhàng tránh không cho trẻ tiếp xúc được với nhau, nhưng cô vẫn trực tiếp quan sát và theo dõi được các cháu.
Dây chuyền hoạt động của bộ phận y tế (xem phụ lục C - hình 7).
5.11. Phòng vệ sinh tắm rửa cho nhóm trẻ hay lớp mẫu giáo phải thuận tiện cho sử dụng của … khi hoạt động trong nhà cũng như ngoài sân vườn.
5.12. Vị trí của phòng hoạt động âm nhạc và rèn luyện thể chất nên bố trí cạnh khối nhóm - lớp và không được đặt lẫn chung với các phòng phục vụ. Khi đặt riêng lẻ, nên dùng nhà … nối với khối nhóm - lớp.
5.13. Hiên chơi của trẻ hay lớp mẫu giáo phải bảo đảm:
a) Chiều rộng hiên chơi chỗ nhỏ nhất không dưới 2,10m;
b) Bố trí lan can bao xung quanh hiên chơi của trẻ ở độ cao 0,8m để đảm bảo an toàn cho trẻ. Khoảng cách giữa các thanh dóng đứng không lớn hơn 0,1m;
c) Thuận tiện cho các sinh hoạt của trẻ khi mưa, nắng.
5.14. Trường mầm non có quy mô từ 3 nhóm - lớp trở lên được phép thiết kế một phòng sinh hoạt chung. Diện tích nhỏ nhất không dưới 54m2 và lớn nhất không quá 72m2.
5.15. Phòng sinh hoạt chung phải bảo đảm những yêu cầu sau đây:
a) Thuận tiện cho trẻ từ các nhóm - lớp đến;
b) Thoát ra ngoài nhanh khi cần thiết;
c) Thông thoáng và được chiếu sáng tự nhiên.
KHỐI PHỤC VỤ
5.16. Nội dung và diện tích các phòng trong khối phục vụ chung của trường mầm non được quy định trong bảng 4.
Bảng 4: Diện tích các phòng trong khối phục vụ
|
Loại phòng |
Quy mô trường |
Ghi chú |
||
|
Từ 10 đến 15 nhóm - lớp |
Từ 6 đến 9 nhóm - lớp |
Từ 5 nhóm - lớp trở xuống |
||
|
Hiệu trưởng, tiếp khách, m2 |
16 - 18 |
16 - 18 |
12 - 15 |
|
|
Hành chính quản trị, m2 |
16 - 18 |
16 - 18 |
12 - 15 |
|
|
Nghỉ của cô, m2 |
18 - 24 |
16 - 18 |
12 - 16 |
|
|
Soạn giáo án, m2 |
18 - 24 |
16 - 18 |
9 - 12 |
|
|
Phòng truyền thống, m2 |
30 - 36 |
30 - 36 |
28 |
|
|
Phòng y tế, m2 |
12 |
12 |
10 |
|
|
Bếp, m2: - Kho lương thực |
12 - 15 |
12 - 15 |
10 - 12 |
|
|
- Kho thực phẩm |
12 - 15 |
10 - 12 |
10 |
|
|
- Gia công, chế biến |
24 - 36 |
18 - 24 |
18 |
|
|
- Phòng chia cơm |
18 |
15 |
10 |
|
|
- Để than củi |
9 - 12 |
6 - 9 |
6 |
|
|
Sân phục vụ, m2 |
48 - 60 |
36 - 48 |
24 - 36 |
|
|
Vệ sinh tắm rửa nhân viên, m2 |
18 |
12 |
9 |
|
|
Kho đồ dùng, m2 |
12 |
12 |
9 |
|
|
Phòng sửa chữa đồ chơi, m2 |
12 |
12 |
9 |
|
|
Bảo vệ thường trực, m2 |
6 - 8 |
6 - 8 |
6 - 8 |
|
|
Bộ phận giặt, m2 |
12 |
12 |
9 |
|
|
Nhà để xe, m2 |
Diện tích cho một xe = 0,90 m2 |
Tùy theo quy mô và yêu cầu từng công trình |
||
Chú thích:
1. Phòng làm việc của hiệu trưởng và tiếp khách cần đặt ở vị trí thuận tiện cho yêu cầu quản lí của nhà trường.
2. Khi có gia công lương thực thực phẩm bằng máy trong bếp, có thể tăng thêm diện tích sử dụng của gian gia công một cách thỏa đáng.
3. Tùy theo loại nhiên liệu sử dụng có thể bố trí và tăng giảm diện tích sử dụng cho phù hợp.
5.17. Đối với trường mầm non chỉ có 3 nhóm - lớp thì phòng hành chính quản trị, phòng nghỉ của cô, phòng soạn giáo án và phòng y tế có thể thiết kế làm một, diện tích được quy định trong bảng 4.
5.18. Nội dung thiết kế khu bếp phải bảo đảm những yêu cầu sau:
- Dây chuyền hoạt động một chiều.
- Cách li với khối nhóm - lớp và sân chơi.
Chú thích:
1. Chỗ chia cơm cần mở trực tiếp với hành lang chung để tới được các nhóm - lớp đồng thời thuận tiện chuyển thức ăn từ bếp sang.
2. Chỗ gia công, chế biến thức ăn cần chú ý bảo đảm sáng, thoáng, trực tiếp với nguồn nước, ngăn cách với chỗ nấu và chia.
3. Các kho cần chú ý đến yêu cầu nhập kho và cân đong, xuất kho hàng được thuận tiện.
4. Dây chuyền hoạt động của bộ phận bếp (xem phụ lục C - hình 6).
5.19. Bộ phận giặt trong trường, tùy thuộc vào điều kiện cơ sở vật chất và tiện nghi của từng trường, có thể áp dụng trong hai loại sau:
a) Giặt tập trung;
b) Giặt theo nhóm.
5.20. Thiết kế bộ phận giặt tập trung phải bảo đảm những yêu cầu sau:
a) Cửa giao nhận quần áo, tã lót sạch và bẩn của nhóm - lớp phải riêng biệt.
b) Cửa nhận quần áo, tã lót bẩn không được mở ra hành lang chung.
c) Trực tiếp với sân chơi (có mái và ngoài trời).
5.21. Chỗ giặt theo nhóm hay lớp phải bố trí trong phòng vệ sinh của nhóm hay lớp đó với diện tích:
- Chỗ giặt từ 1,2 m2 đến 1,5m2.
- Chỗ phơi từ 2,0 m2 đến 2,5 m2.
Chú thích:
1. Chỗ phơi quần áo của trẻ trong nhóm - lớp cần trực tiếp với ánh sáng tự nhiên nhưng chú ý không được kết hợp vào hiên chơi của trẻ.
2. Dây chuyền hoạt động của bộ phận giặt (xem phụ lục C hình 5).
5.22. Khi thiết kế cầu thang phải đảm bảo:
a) Chiếu sáng tự nhiên;
b) Độ dốc từ 22o đến 24o;
c) Chiều rộng của vế thang không nhỏ hơn 1,2m.
d) Bố trí tay vịn cho người lớn và trẻ em. Tay vịn của trẻ em cao từ 0,5m đến 0,6m tính từ mặt bậc thang đến tay vịn.
f) Phía tay vịn của người lớn phải có lưới chắn bảo vệ cao từ 0,5m đến 0,6m.
g) Lan can tay vịn thang phải bố trí bằng các thanh dọc đứng và bảo đảm khoảng cách giữa hai thanh không lớn hơn 0,1m.
SÂN VƯỜN
5.23. Sân vườn trong trường mầm non bao gồm:
a) Sân chơi chung;
b) Sân chơi của nhóm - lớp;
c) Vườn cây, bãi cỏ.
5.24. Diện tích sân chơi chung toàn trường được tính từ 1,5m2 đến 2 m2 cho một trẻ, nhưng không nhỏ hơn giá trị tính toán theo công thức dưới đây:
S = 180 + 20(N-1)
Trong đó: 180, 20, 1: là hằng số.
N: là số lớp trong toàn trường (không tính nhóm trẻ sữa, bột)
Chú thích:
1. Sân chơi chung ngoài trời bao gồm đường chạy 30m rộng từ 1,2m đến 1,5m, hố cát, chậu rửa tay, bể vầy nước có độ sâu không quá 0,3m.
2. Sân tập thể dục được tính từ 0,5m2 đến 0,8m2 cho một trẻ nhưng không được lớn hơn 120m2.
3. Đường chạy của trẻ không được cắt qua sân tập thể dục hay chỗ ngồi chơi của trẻ và không được bố trí kết hợp với đường đi chung trong công trình.
5.25. Mỗi nhóm trẻ hay lớp mẫu giáo được bố trí một sân chơi riêng. Diện tích sân chơi được tính từ 1m2 đến 1,5m2/trẻ đối với nhà trẻ và từ 2 m2 đến 2,5 m2/trẻ đối với lớp mẫu giáo.
5.26. Trong sân vườn của công trình có thể bố trí một khu đất để trẻ tập trồng trọt, diện tích từ 0,3 m2 đến 0,5 m2 cho một trẻ, nhưng diện tích chung không được lớn hơn 60 m2.
5.27. Trong sân chơi riêng, sân chơi chung và các trang bị ngoài trời cần thiết kế bố trí trồng các hàng cây, lùm cây, giàn leo hoặc các tiểu cảnh để tạo bóng mát, chắn bụi, giảm tiếng ồn cho trẻ.
5.28. Trong sân vườn nghiêm cấm trồng các cây có nhựa độc, có gai sắc, có quả vỏ cứng hay có hoa quả thu hút ruồi muỗi.
5.29. Phòng bảo vệ có thể bố trí cùng khối với bộ phận hành chính quản trị, hoặc tách riêng nhưng phải bảo đảm yêu cầu trực ban ngày và bảo vệ ban đêm được thuận lợi. Diện tích lấy theo quy định trong bảng 4.
6. Yêu cầu về thiết bị kĩ thuật vệ sinh
6.1. Trong trường mầm non phải thiết kế hệ thống cấp thoát nước bên trong phù hợp với khả năng, điều kiện của từng trường và phải tuân theo các tiêu chuẩn thiết kế hiện hành. Lựa chọn loại thiết bị vệ sinh và giải pháp thiết kế cần phù hợp nhu cầu của trẻ.
6.2. Hệ thống cấp nước trong công trình gồm:
- Hệ thống cấp nước sinh hoạt;
- Hệ thống cấp nước chữa cháy.
6.3. Tiêu chuẩn cấp nước cho công trình được lấy theo tiêu chuẩn “Cấp nước bên trong. Tiêu chuẩn thiết kế - TCVN 4513: 1988”.
6.4. Đối với các công trình có hệ thống cấp nước chung trong sân vườn cần bố trí vòi nước tưới.
6.5. Hệ thống thoát nước trong công trình gồm:
- Hệ thống thoát nước sinh hoạt;
- Hệ thống thoát nước mưa.
6.6. Đường ống cấp nước và thoát nước không được phép đặt lộ dưới trần của các phòng, trừ phòng giặt, phòng vệ sinh.
6.7. Đường ống, rãnh thoát nước sinh hoạt, nước mưa phải xây kín.
6.8. Số lượng và nội dung thiết bị vệ sinh đặt trong một nhóm - lớp không được nhỏ hơn quy định như trong bảng 5.
Bảng 5: Số lượng thiết bị vệ sinh cho một phòng vệ sinh của một nhóm - lớp
|
Bể dội nước (cái) |
Chậu xí (cái) |
Máng tiểu (chỗ) |
Chậu rửa (vòi, cái) |
Tắm hoa sen (cái) |
|
1 |
4 |
4 |
6 ¸ 8 |
2 |
Chú thích:
1. Khu vệ sinh dùng cho giáo viên, nhân viên nên tập trung ở một nơi hoặc phải ngăn chia trong khu vệ sinh dùng cho trẻ.
2. Khu vực bố trí xí, máng tiểu hoặc tiểu treo đều cần có tấm ngăn lửng cao 1,2m và đặt thêm tay vịn cho trẻ. Kích thước mặt bằng của mỗi chỗ xí là 0,8m x 0,7m, chiều rộng máng tiểu là 0,16 đến 0,18m.
3. Hệ thống tắm nước nóng nén đặt tập trung, nếu có riêng cho mỗi lớp thì cần có phòng tắm độc lập.
6.9. Bố trí trang thiết bị vệ sinh trong công trình cần đảm bảo các yêu cầu:
- Đáp ứng yêu cầu sử dụng của trẻ.
- Thuận tiện cho cô giáo chăm sóc trẻ.
6.10. Trong mọi khả năng cấp nước đều phải bố trí bể nước dự trữ chung cho toàn trường ở trí thuận tiện để phục vụ cho các nhóm - lớp.
6.11. Chiều cao lắp đặt các thiết bị vệ sinh được quy định trong bảng 6.
Bảng 6: Chiều cao lắp đặt các thiết bị vệ sinh trong trường mầm non
|
Tên thiết bị |
Chiều cao (m) |
Ghi chú |
|
Trong nhóm trẻ: |
|
Chiều cao quy định từ mặt đến mép trên của thiết bị |
|
- Chậu rửa tay |
0,40 |
|
|
- Chậu xí |
0,30 |
|
|
- Bể dội nước |
0,65 |
|
|
Trong lớp mẫu giáo: |
|
Chiều cao quy định từ mặt đến mép trên của thiết bị |
|
- Chậu rửa tay |
0,45 |
|
|
- Chậu xí |
0,40 |
|
|
- Bể dội nước |
0,65 |
|
|
- Máng tiểu |
0,30 |
6.12. Ngoài những quy định đã nêu trong tiêu chuẩn này, khi thiết kế hệ thống cấp và thoát nước cho trường mầm non phải tuân theo những quy định trong các tiêu chuẩn hiện hành có liên quan.
7. Yêu cầu về chiếu sáng - kĩ thuật điện và thiết bị điện yếu
7.1. Trong trường mầm non các phòng sau đây cần được thiết kế chiếu sáng tự nhiên trực tiếp
- Phòng chơi (nhóm trẻ), lớp học (mẫu giáo).
- Phòng tắm rửa, vệ sinh, hiên phơi.
- Hiên chơi.
- Phòng sinh hoạt chung.
- Bếp.
- Chỗ gia công thô.
7.2. Thiết kế chiếu sáng tự nhiên cho các phòng phải tuân theo những quy định trong tiêu chuẩn “Chiếu sáng tự nhiên trong công trình dân dụng. Tiêu chuẩn thiết kế TCXD 29: 1991”. Hệ số chiếu sáng tự nhiên của các loại phòng phải lấy theo yêu cầu để tính toán khi thiết kế.
7.3. Tỉ lệ giữa diện tích cửa sổ với diện tích sàn của phòng lấy ánh sáng bên không được nhỏ hơn quy định của bảng 7.
Bảng 7: Tỉ lệ giữa diện tích cửa sổ với diện tích sàn
|
Tên các phòng |
Tỉ lệ cho phép |
|
1. Phòng hoạt động âm nhạc, thể thao, phòng sinh hoạt |
1/5 |
|
2. Phòng ngủ, phòng pha sữa, phòng y tế, phòng cách li |
1/6 |
|
3. Các phòng khác |
1/8 |
Chú thích:
1. Khi lấy ánh sáng một phía thì tỉ lệ giữa chiều dài phòng và độ cao từ mép trên ô cửa sổ đến sàn nhà không nên lớn hơn 2,5.
2. Khi phòng sinh hoạt lấy ánh sáng một phía thì chiều dài phòng không nên lớn hơn 6,60m. Phòng sinh hoạt của các nhóm - lớp ở trên gác nên có sân trời hoặc ban công nhưng không được che nắng của phòng sinh hoạt của trẻ ở tầng dưới.
7.4. Việc trang trí chọn mầu sắc cho trần, tường, sàn nhà, và các trang bị, thiết bị v.v... phải hợp lí để tăng cường độ rọi trên mặt phẳng sinh hoạt.
7.5. Phải thiết kế hệ thống chiếu sáng nhân tạo cho toàn bộ công trình kể cả sân vườn.
7.6. Tiêu chuẩn độ rọi trong các phòng của công trình được quy định trong bảng 8.
Bảng 8: Độ rọi nhỏ nhất trong công trình
|
Loại phòng |
Độ rọi nhỏ nhất (lux) |
Mặt phẳng được chiếu sáng |
|
|
Đèn huỳnh quang |
Đèn nung sáng |
||
|
- Phòng sinh hoạt chung |
200 |
100 |
Cách mặt sàn 0,5m. |
|
- Phòng sinh hoạt của nhóm lớp |
100 |
60 |
Cách mặt sàn 0,5m |
|
- Phòng ngủ |
75 |
30 |
Cách mặt sàn 0,8m |
|
- Nhận trẻ, cho bú, mũ áo |
100 |
50 |
Cách mặt sàn 0,8m |
|
- Cô nuôi dạy trẻ |
100 |
50 |
Cách mặt sàn 0,5m |
|
- Hành chính quản trị |
100 |
50 |
Cách mặt sàn 0,5m |
|
- Y tế, giáo án, pha sữa, chia cơm |
100 |
35 |
Cách mặt sàn 0,8m |
|
- Trẻ mệt |
75 |
30 |
Cách mặt sàn 0,8m |
|
- Vệ sinh |
100 |
30 |
Mặt sàn |
7.7. Đèn được lựa chọn sử dụng cho các phòng cần tránh chói sáng.
7.8. Phòng sinh hoạt, phòng trẻ bú, phòng hoạt động âm nhạc, rèn luyện thể chất, phòng y tế, phòng cách li, nên dùng đèn chiếu sáng có nguồn ánh sáng ban ngày. Các phòng khác có thể dùng đèn nung sáng. Khi dùng đèn huỳnh quang, nên cố gắng giảm ảnh hưởng của hiệu ứng nhấp nháy.
7.9. Thiết kế mạng điện trong trường mầm non phải bảo đảm:
a) Dây đi ngầm;
b) Các ổ cắm điện, cầu chì, công tắc v.v... trong các phòng nơi có trẻ thường lui tới phải đặt ở độ cao từ 1,4m đến 1,5m tính từ mặt sàn và phải có hộp hay lưới bảo vệ.
c) Ngoài công tắc, cầu chì, trong bảng điện từng phòng cần có thêm 1 đến 2 ổ cắm để sử dụng khi cần thiết.
7.10. Các phòng sinh hoạt, phòng hoạt động âm nhạc, rèn luyện thể chất tùy theo nhu cầu sử dụng có thể lắp sẵn ổ cắm dây ăng ten máy thu hình và lắp ổ cắm nguồn điện. Độ cao đặt không nhỏ hơn 1,40m, có nối đất.
7.11. Trong điều kiện cho phép có thể thiết kế hệ thống điện thoại và chuông điện.
7.12. Phải thiết kế hệ thống chống sét khi cần thiết.
7.13. Các phòng dùng cho sinh hoạt của trẻ cần được thông gió tự nhiên. Bếp, phòng vệ sinh cần lắp đặt hệ thống thông gió riêng.
7.14. Ngoài các quy định nêu trong tiêu chuẩn này, còn cần phải tuân theo các quy định trong các tiêu chuẩn thiết kế hiện hành có liên quan.
8. Yêu cầu về phòng cháy và chữa cháy
8.1. Khi thiết kế trường mầm non phải tuân theo tiêu chuẩn “Phòng cháy, chống cháy cho nhà và công trình - Yêu cầu thiết kế - TCVN 2622: 1995”.
8.2. Bậc chịu lửa của công trình được xác định tùy theo quy mô công trình, số tầng nhà, chiều dài giới hạn và diện tích xây dựng, được quy định cụ thể trong bảng 9.
Bảng 9: Bậc chịu lửa của công trình
|
Quy mô công trình (nhóm - lớp) |
Số tầng giới hạn |
Khoảng cách xa nhất từ các phòng tới lối thoát nạn (m) |
Bậc chịu lửa của công trình |
|
- Dưới 5 |
1 |
12 đến 15 |
III-IV |
|
- Từ 6 đến 9 |
2 |
15 đến 20 |
II-III |
|
- Từ 10 đến 15 |
3 |
15 đến 20 |
II-III |
8.3. Trong trường hợp thiết kế hợp khối thì sàn của các nhóm - lớp và tường ngăn cách các nhóm - lớp với các phòng phải làm bằng vật liệu có giới hạn chịu lửa không quá 45 phút.
8.4. Nếu công trình thiết kế 2 tầng có bậc chịu lửa II và III được phép thiết kế cầu thang ở ngoài nhà để làm lối thoát nạn thứ hai.
8.5. Chiều rộng cần thiết của lối đi, hành lang, cửa đi, vế thang trên đường thoát nạn được quy định trong bảng 10.
Bảng 10: Chiều rộng lối thoát nạn
|
Lối đi |
Chiều rộng lối đi (m) |
|
|
Nhỏ nhất |
Lớn nhất |
|
|
Lối đi |
1,00 |
Theo tính toán |
|
Hành lang |
1,40 |
Theo tính toán |
|
Cửa đi |
0,80 |
2,40 |
|
Vế thang |
1,05 |
2,40 |
8.6. Trường hợp không có nguồn nước cung cấp hoặc nguồn nước cung cấp không bảo đảm lưu lượng và áp suất, phải có bể nước dự trữ và có bơm đảm bảo áp lực nước chữa cháy tại những điểm xa nhất trong trường. Lượng nước cần thiết để tính toán căn cứ vào lượng nước chữa cháy lớn nhất trong 3 giờ.
9. Yêu cầu về công tác hoàn thiện
9.1. Công tác hoàn thiện phải được chú trọng cả trong và ngoài công trình cũng như sân vườn và cổng.
9.2. Các chi tiết kiến trúc, góc tường, cạnh cột v.v... không được làm cạnh vuông, góc nhọn.
9.3. Các cửa đi và cửa sổ của các phòng sinh hoạt chung, các phòng của nhóm - lớp phải có móc gió giữ các cánh cửa ấp vào tường.
9.4. Những nơi trẻ thường xuyên qua lại cần thiết kế cửa phù hợp và đảm bảo an toàn với các yêu cầu hoạt động của trẻ. Ở độ cao cách mặt sàn 0,7m nên lắp thêm tay nắm chuyên dụng cho trẻ. Hai mặt cửa đều nên nhẵn phẳng, không có góc cạnh.
Không được làm ngưỡng cửa và cửa lò so tại các cửa ra vào.
9.5. Mặt tường ngoài nhà ở độ cao 1,3m trở xuống nơi trẻ hay tiếp xúc không được nhám, gồ ghề. Mặt tường trong nhà nên dùng vật liệu nhẵn phẳng, dễ làm sạch.
9.6. Mặt tường trong các phòng sinh hoạt, phòng hoạt động âm nhạc, giáo dục thể chất cần tạo điều kiện để trưng bày tài liệu dạy học, các tranh, ảnh trang trí.
9.7. Những phòng trong khối nhóm - lớp cần phải có lớp ốp chân tường bằng vật liệu dễ cọ rửa, không thấm nước, được quy định như sau:
a) Phòng sinh hoạt, phòng ngủ, phòng nhận cho bú, chỗ trẻ mệt cao từ 0,12m đến 0,2m.
b) Phòng tắm rửa, xí tiểu, chia cơm, pha sữa lớp ốp chân tường cần kết hợp với lớp ốp tường cao từ mặt sàn đến độ cao không nhỏ hơn 1,2m.
c) Sàn nhà các phòng nói trên phải có độ dốc từ 1 đến 2% về phía hố thu hoặc lỗ thoát nước ở chân tường, sát mặt sàn để thoát nước khi cọ rửa.
9.8. Tường, trần nhà và sàn phải trát nhẵn không làm gờ chỉ.
9.9. Sàn, nền các phòng và bậc thang phải đảm bảo:
a) Có độ dốc dễ thoát nước khi cọ rửa.
b) Lát bằng vật liệu không trơn trượt, không thấm nước, dễ cọ rửa.
9.10. Sân vườn phải bảo đảm:
a) Vườn cây bãi cỏ, sân phơi phải đúng vị trí, yêu cầu sinh hoạt của trẻ.
b) Đúng loại cây cỏ quy định, chất lượng tốt.
c) Trang thiết bị (ghế bành, cầu trượt, đu quay v.v...) phải được chống ẩm, chống mối mọt
9.11. Đường đi phải bảo đảm:
a) Đúng vị trí quy định.
b) Đúng yêu cầu và chức năng sử dụng đối với trẻ và chức năng phục vụ của công trình.
PHỤ LỤC A
(Tham khảo)
TỔ CHỨC PHÂN CHIA NHÓM NHÀ TRẺ VÀ LỚP MẪU GIÁO TRONG TRƯỜNG MẦM NON
1. Trong nhà trẻ căn cứ vào chế độ ăn của trẻ có thể tổ chức thành các nhóm:
a) Nhóm sữa
b) Nhóm bột
c) Nhóm cháo
d) Nhóm cơm nát
e) Nhóm cơm thường.
Độ tuổi của lứa tuổi nhà trẻ là từ 3 tháng đến 36 tháng tuổi.
2. Trường mẫu giáo căn cứ vào độ tuổi của trẻ được phân như sau:
a) Từ 3 tuổi đến 4 tuổi: lớp mẫu giáo bé.
b) Từ 4 tuổi đến 5 tuổi: lớp mẫu giáo nhỡ.
c) Từ 5 tuổi đến 6 tuổi: lớp mẫu giáo lớn.
3. Trong trường hợp không thể bố trí đủ các nhóm hay lớp như trên có thể tổ chức kết hợp giữa các chế độ ăn và lứa tuổi khác nhau trong trường mầm non.
4. Khi xác định quy mô của trường mầm non và tỉ lệ giữa các nhóm trẻ, lớp mẫu giáo phải dựa trên cơ sở của yêu cầu thực tế nơi xây dựng, kết hợp với các hướng dẫn về phân chia các nhóm - lớp trong tiêu chuẩn này.
PHỤ LỤC B
(Tham khảo)

Chú thích:
A. Miền khí hậu phía Bắc: bao gồm các tỉnh phía Bắc đèo Hải Vân.
- Đặc điểm: khí hậu cơ bản là nhiệt đới gió mùa có mùa đông lạnh.
A.I. Vùng khí hậu Đông Bắc và Việt Bắc.
- Đặc điểm: lạnh thấp nhất dưới 0oC, khí hậu ẩm ướt, mưa nhiều, chống lạnh là chủ yếu.
|
A.I.1. Tiểu vùng bao gồm các tỉnh Đông Bắc A.I.2. Tiểu vùng bao gồm các tỉnh Việt Bắc |
Khác nhau về mức độ sưởi |
A.II. Vùng khí hậu núi Tây Bắc và Bắc Trường Sơn.
- Đặc điểm: ít lạnh, nhiệt độ thấp ³ 0oC ở phía Bắc và ³ 5oC ở phía Nam, thời tiết khô nóng cao nhất 40oC, tốc độ gió lạnh ³ 40m/s trong năm mùa lạnh kéo dài bằng mùa khô nhu cầu sưởi từ hai đến ba tháng.
|
A.II.1. Tiểu vùng Tây Bắc A.II.2. Tiểu vùng Bắc Trường Sơn |
Khác nhau về mức độ sưởi mùa đông |
A.III. Vùng khí hậu đồng bằng Bắc Bộ và Bắc Trung Bộ.
- Đặc điểm: mùa đông lạnh không xuống tới 0oC phía Bắc và 5oC phía Nam nóng nhất là 40oC từ Thanh Hóa vào có thể tới 42oC - 43oC, khí hậu ấm hơn A.I và A.II, mưa nhiều tốc độ gió lớn hơn 40m/s.
A.III.1. Tiểu vùng đồng bằng Bắc Bộ.
A.III.2. Tiểu vùng đồng bằng Thanh Hóa, Nghệ An, Hà Tĩnh
A.III.3. Tiểu vùng đồng bằng Quảng Bình, Quảng Trị, Huế. Khác nhau về giải pháp kĩ thuật sưởi ấm mùa đông
B. Miền khí hậu phía Nam: bao gồm các tỉnh phía Nam đèo Hải Vân.
Đặc điểm: nhiệt đới gió mùa suốt năm chỉ tồn tại một mùa nóng.
B.IV. Miền khí hậu Tây Nguyên.
Đặc điểm: mang tính chất khí hậu miền nhiệt đới nhiệt độ thấp nhất từ 0oC - 5oC, cao nhất ³ 40oC, từ vùng núi phải phòng và chống nóng cho vùng này.
|
B.IV.1. Tiểu vùng Bắc Tây Nguyên B.IV.2. Tiểu vùng Nam Tây Nguyên |
Khác nhau về nhu cầu phòng lạnh |
B.V. Vùng khí hậu đồng bằng Nam Bộ và Nam Trung Bộ.
Đặc điểm: khí hậu nhiệt đới, mùa đông không lạnh nhiệt độ thấp nhất ³ 10oC, cao nhất £ 40oC, ở phía Bắc: £ 40oC ở phía Nam mưa nhiều hàng năm có hai mùa khô, ẩm phù hợp với hai mùa gió.
|
B.V.1. Tiểu vùng Quảng Nam, Đà Nẵng, Bắc Quảng Ngãi B.V.2. Tiểu vùng Khánh Hòa, Nam Quảng Ngãi B.V.3. Tiểu vùng Thuận Hải, Đông Nam Bộ. B.V.4. Tiểu vùng Tây Nam Bộ |
Khác nhu cầu chống nóng về mùa hè |
PHỤ LỤC C
Tham khảo
SƠ ĐỒ DÂY CHUYỀN HOẠT ĐỘNG CHUNG TRONG CÔNG TRÌNH NUÔI DẠY TRẺ
|
|
Hình 1: 1. Lối vào, phòng nhận trẻ. Thường trực, chỗ trẻ mệt, thay quần áo, rửa; 2. Phòng ngủ, sinh hoạt, hiên chơi; 3. Tắm, ngồi bô, xí tiểu; 4. Hành chính, quản trị, y tế, bếp, kho, giặt. |
SƠ ĐỒ DÂY CHUYỀN HOẠT ĐỘNG CHUNG TRONG CÔNG TRÌNH NUÔI DẠY TRẺ
|
|
Hình 2: 1. Lối vào, phòng nhận trẻ, thường trực, chỗ trẻ mệt, thay quần áo, rửa. 2. Phòng ngủ, phòng sinh hoạt, hiên chơi. 3. Hành chính, quản trị, y tế, bếp, kho, giặt. |
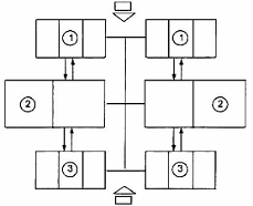
SƠ ĐỒ DÂY CHUYỀN HOẠT ĐỘNG CỦA NHÓM TRẺ VÀ LỚP MẪU GIÁO
|
Hình 3: Dây chuyền hoạt động của nhóm trẻ: 1. Phòng đón, treo mũ áo; 2. Phòng chơi; 3. Phòng ngủ; 4. Phòng tắm rửa, ngồi bô; 5. Hiên chơi. |
|
|
Hình 4: Dây chuyền hoạt động của lớp mẫu giáo: 1. Phòng đón treo mũ áo; 2. Lớp học; 3. Phòng chơi; 4. Phòng ngủ; 5. Phòng tắm rửa, ngồi bô; 6. Hiên chơi. |
|
|
Hình 5: Dây chuyền hoạt động khối lớp: 1. Chỗ nhận áo bẩn; 2. Phòng tẩy; 3. Phòng giặt; 4. Phòng là, sấy, khô và giao. |
|
|
Hình 6: Dây chuyền hoạt động khối bếp: 1. Kho khô; 2. Kho tươi; 3. Gia công thô, kĩ, bếp nấu, chia. |
|
|
Hình 7: Dây chuyền hoạt động khối y tế trong công trình nuôi dạy trẻ kí túc 1. Phòng y tế; 2. Chỗ vệ sinh của trẻ; 3. Phòng trẻ ốm mệt. |
|
PHỤ LỤC D
(Tham khảo)
BỘ PHẬN GIẶT
Nội dung và diện tích các phòng của bộ phận giặt tập trung trong trường mầm non theo loại và quy mô công trình được quy định trong bảng sau:
|
Tên các phòng |
Diện tích thiết kế cho công trình gửi theo giờ hành chính và ca kíp (m2) |
||
|
dưới 5 nhóm lớp |
6 - 9 nhóm, lớp |
10 - 15 lớp |
|
|
- Phòng giặt |
9 |
9 - 12 |
18 |
|
- Phòng sấy và là |
9 |
9 |
9 |
|
- Kho quần áo sạch |
6 |
9 |
12 |
|
- Sân phơi có mái |
18 |
30 |
35 |
PHỤ LỤC E
(Bắt buộc áp dụng)
TRANG THIẾT BỊ VỆ SINH TRONG TRƯỜNG MẦM NON
Nội dung và số lượng thiết bị vệ sinh trong các phòng của trường mầm non:
|
Tên các phòng |
Chậu rửa mặt rửa tay |
Chậu rửa tay rửa bát đĩa |
Vòi nước rửa có máng |
Vòi nước |
Bể hay thùng tắm hương sen |
Bể hay thùng tắm hương sen |
Chậu xí |
Chỗ để bô |
Chỗ đi tiểu |
Bô và ghế ngồi bô |
Bể giặt |
|
- Y tế |
1 |
|
|
|
|
|
|
|
|
|
|
|
- Chia cơm |
|
|
|
|
|
|
|
|
|
|
|
|
- Pha sữa |
|
1 |
|
|
|
|
|
|
|
|
|
|
- Tắm rửa vệ sinh |
1 |
|
2 |
1 |
|
2 |
|
1 |
|
1/2 trẻ |
1 |
|
- Tắm rửa vệ sinh các lớp |
3 |
|
4-5 |
1 |
3-4 |
4 |
1/5 trẻ |
|
4 |
|
1 |
|
- Bếp sân phục vụ |
|
2 |
|
2 |
|
|
|
|
|
|
|
|
- Giặt (tập trung) |
|
|
|
2 |
|
|
|
|
|
|
|
|
- Tắm rửa xí tiểu |
1 |
|
|
1 |
1-2 |
|
1-2 |
|
1-2 |
|
|
|
- Cô, nhân viên |
Cứ 20 cô hoặc nhân viên được trang bị 1 tắm, 1 xí, 1 tiểu và 1 chậu rửa |
||||||||||
Chú thích:
1. Vòi nước rửa có máng tính với 0,4m dài cho 1 chỗ rửa.
2. Chỗ đi tiểu tính với 0,45m - 0,50m dài cho 1 chỗ.
3. Nội dung và số lượng thiết bị trong các mục 1, 2, 3, 4, 5 là tính cho một nhóm trẻ hay lớp mẫu giáo, các mục 6, 7, 8 là tính cho toàn trường.
PHỤ LỤC F
(Tham khảo)
MỘT SỐ ĐIỂM LƯU Ý VỀ NỘI DUNG VÀ TRANG THIẾT BỊ TRONG TRƯỜNG MẦM NON
1. Nội dung và trang thiết bị trong trường mầm non phải đảm bảo tính sư phạm và thẩm mỹ để đảm bảo yêu cầu nuôi dưỡng, chăm sóc và giáo dục trẻ.
2. Nội dung của trang thiết bị cần được sắp xếp, trang trí gọn gàng, trật tự, thuận lợi và phù hợp với từng lứa tuổi của trẻ. Về hình thức cần tạo dáng, mầu sắc tươi vui, hấp dẫn phù hợp với tính hiếu động của trẻ. Trang trí cần thay đổi theo từng chủ điểm, thu hút trẻ và treo vừa tầm với của trẻ.
3. Phải có đủ các trang thiết bị phục vụ cho giảng dạy của cô và vui chơi, học tập của trẻ. Bao gồm: đồ dùng trong lớp, đồ gỗ dùng vệ sinh, đồ dùng lao động, đồ dùng giảng dạy cho cô và học tập cho trẻ, đồ chơi phục vụ các loại trò chơi, tài liệu, sổ sách cho cô và sách học, sách tranh... cho trẻ.
4. Trang thiết bị phải bền, đẹp, an toàn, có giá trị sử dụng cao, phù hợp nội dung giáo dục.
5. Phải được bảo quản tốt, thường xuyên bổ sung, sửa chữa, thay thế.
MỤC LỤC
Lời nói đầu
1. Phạm vi áp dụng
2. Tiêu chuẩn trích dẫn
3. Quy định chung
4. Yêu cầu về khu đất xây dựng và tổ chức quy hoạch tổng mặt bằng
5. Nội dung công trình và yêu cầu về giải pháp thiết kế
6. Yêu cầu về thiết bị kĩ thuật vệ sinh
7. Yêu cầu về chiếu sáng - kĩ thuật điện và thiết bị điện yếu
8. Yêu cầu về phòng cháy và chữa cháy
9. Yêu cầu về công tác hoàn thiện
Phụ lục A: Tổ chức phân chia nhóm nhà trẻ và lớp mẫu giáo trong trường mầm non
Phụ lục B. Bản đồ phân vùng khí hậu
Phụ lục C. Sơ đồ dây chuyền hoạt động chung trong công trình nuôi dạy trẻ
Phụ lục D. Bộ phận giặt
Phụ lục E. Trang thiết bị vệ sinh trong trường mầm non
Phụ lục F. Một số điểm lưu ý về nội dung và trang thiết bị trong trường mầm non